导读:本文利用大规模分子动力学模拟,通过准等熵压缩加载对CoCrNi多主元合金的相变路径展开系统研究。研究表明,多主元合金的相变行为与加载晶向、应变率、压力以及内部化学短程序结构等因素密切相关。其中,沿[100]晶向加载,化学短程序在变形初期诱导产生的异常体心立方(BCC)团簇结构使得材料的初始塑性行为与应变率无关。而沿[11 ̅0]和[111] 晶向加载的结果则表明高应变率可诱导材料发生固态非晶化转变。多重相变路径的存在与相互竞争不仅凸显出多主元合金的多态性,同时也为满足极端服役环境的材料性能提升提供了新的调控思路。
多主元合金较低的层错能往往能够在变形中诱发马氏体相变,子相和母相的协同变形(TRIP)及相界面带来的强化效果在一定程度上改善了材料的强韧制约关系。运用该策略有望改善多主元合金在极端环境下的力学性能。然而,高应变率加载下温度和压力的耦合导致目前的研究尚未厘清影响多主元合金相变行为的关键因素。此外,近年来备受关注的化学短程有序结构在TRIP行为中所扮演的角色也有待探究。
基于上述问题,华南理工大学姚小虎教授课题组与美国加州大学圣芭芭拉分校Irene J. Beyerlein教授课题组及斯坦福大学简武荣博士开展合作,通过大规模原子模拟方法对多主元合金塑性变形的各向异性与应变率敏感性以及多重相变路径的竞争关系进行研究。相关成果以“Phase transition in medium entropy alloy CoCrNi under quasi-isentropic compression” 为题发表在固体力学顶刊International Journal of Plasticity上。华南理工大学博士生谢卓成为第一作者,合作作者还包括加州大学圣芭芭拉分校Shuozhi Xu博士以及华南理工大学张晓晴、张闰教授。
论文链接:http://dx.doi.org/10.1016/j.ijplas.2022.103389

为了将高应变率加载下的温升与高压在一定程度上解耦,研究者采用了准等熵压缩加载的方式对多主元合金的塑性变形与相变行为展开研究。该加载方式对应压力快速增加的同时,温升以相对较慢速率呈现的变形过程,类似于现实中爆轰波引起的变形行为,其热力学路径如图1(b)红线所示。

图1.不同热力学路径对应的(a)压力-体积关系和(b)温度-熵值关系。
沿不同晶向([100],[11 ̅0]和[111])的加载结果显示,多主元合金[100]方向的屈服行为表现出应变率无关性,而[11 ̅0]和[111]方向的屈服强度则与应变率呈正相关关系(图2)。此外,沿 [11 ̅0]和[111]方向加载的温升比[100]方向更加显著。以上结果均表明材料的塑性变形具有显著的各向异性。

图2.不同加载晶向([100],[11 ̅0]和[111])在不同应变率(10^8 s^(-1)—10^11 s^(-1))压缩过程中的应力变化与温升。
通过追踪沿[100]方向加载时多主元合金变形初期的晶体结构演化与化学短程序分布发现,在弹性变形到塑性变形的过渡阶段,材料倾向于在CoCr团簇聚集区域形成BCC结构的原子团簇(图3),该团簇为塑性变形的前驱结构,将随着变形的发展进一步诱导位错成核的发生,引起更明显的塑性变形。由于这种团簇结构的成核广泛存在于不同应变率加载的情况中,并有利于位错产生,因此多主元合金沿[100]方向加载的屈服行为表现出应变率无关性。

图3. (a)-(c)沿 [100]加载,材料变形初期的晶体结构和化学短程序分布;(d)-(e)不同应变率下,材料变形初期BCC团簇中的不同原子对占比。
对比沿不同晶向加载的塑性变形与相变过程表明,沿[100]方向加载产生的层错堆叠引起材料发生面心立方结构(FCC)-密排六方结构(HCP)相变。在此基础上,带状HCP相的相互作用进一步诱导材料发生HCP-BCC相变(图4(a))。相反,沿[11 ̅0]和[111]方向的塑性变形仍以位错滑移为主导,当材料发生大变形且局部出现大量位错累积和相互作用时,晶体结构可转变为固态非晶结构(图4(b)-(c))。随着应变率的进一步增加,固态非晶化相变可发展成为塑性变形的主导机制(图5)。

图4.(a)-(c)不同加载晶向([100],[11 ̅0]和[111])的相变行为。

图5.多重相变路径对加载晶向及应变率的依赖关系。
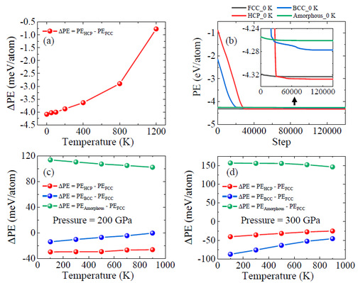
通过对晶体相和非晶相的相对稳定性计算发现,CoCrNi多主元合金在基态下倾向于形成HCP结构,而在高压下BCC结构则具有更好的相对稳定性。随着温度的升高,晶体相的相对稳定性均有所降低,非晶相的相对稳定性却逐步提高,但非晶相的形成仍需克服极高的激活能垒。这也从另一个角度解释了为什么非晶化相变通常在大变形阶段或极端应变率加载条件下出现。
图6.(a)不同温度下随机原子模型FCC相与HCP相的势能差;(b)不同相在能量最小化过程中的势能演化;(c)-(d)高压下不同结构与FCC相的势能差随温度的变化关系。
比较含不同化学短程有序度的多主元合金相变临界压力发现,化学短程序的存在提高了塑性变形的能垒,因此含化学短程序的多主元合金具有更高的FCC-HCP相变临界压力。同时,化学短程序的存在促进了局部的位错累积和HCP相的相互作用,使得化学短程有序度更高的多主元合金具有较低的BCC相成核临界压力。而非晶相的出现则对高应变率有较强的依赖性(图7)。

图7.含不同化学短程有序度的多主元合金相变临界压力与晶向及应变率的关系。
以上研究揭示了多主元合金塑性变形和相变路径的可调控性,有助于利用材料自身的特性进一步改善其在极端条件下的力学性能。该工作得到了国家自然科学基金杰出青年基金和面上项目基金的支持。
团队介绍:
华南理工大学姚小虎教授研究团队秉承“立足国家战略需求,聚焦前沿,开放包容“的研究思想,与国内外多家单位机构交流合作。国际上,与美国阿拉莫斯国家重点实验室、斯坦福大学、加州大学圣芭芭拉分校、普渡大学、南加州大学、德州农工大学联合开展多项研究工作,相关研究成果已在《Journal of the Mechanics and Physics of Solids》、《International Journal of Plasticity》、《Acta Materialia》、《Carbon》、《International Journal of Impact Engineering》等固体力学和材料领域顶级期刊上发表多篇论文。研究领域主要涉及非晶合金、多主元合金、碳化硅陶瓷、航空透明材料、聚合物软材料、碳纤维复合材料等在强动载下的变形、损伤和破坏机理。