2020年12月31日,华南理工大学土木与交通学院姚小虎教授研究组在固体力学顶级期刊International Journal of Plasticity 在线发表论文“Rate dependence and anisotropy of SiC response to ramp and wave-free quasi-isentropic compression”。论文第一作者是李旺辉博士,通讯作者为姚小虎教授和李旺辉博士。华南理工大学作为第一研究单位也是唯一通讯单位,其他合作者包括我院张晓晴教授、美国加州大学圣地亚哥分校Eric Hahn博士、南加州大学Paulo Branicio助理教授和洛斯阿拉莫斯国家实验室Biao Feng博士和Tim German研究员。
陶瓷材料在国防军事和航空航天领域有重要应用,在装备向轻量化和高性能的发展中扮演重要的角色。碳化硅凭借低密度、高比强度、耐高温等优异的物理力学性质,在武器装甲、涂层和发动机涡轮叶片以及摩擦和电子器件中极具应用前景。其应用中存在高温高压和高应变率乃至强辐射等复杂恶劣条件,对极端条件下的物理和力学特性的研究受到重要关注。不同加载条件与微结构下纳米陶瓷的变形与破坏仍是当前基础科学的热点问题之一。

图1 (a)斜波加载下[001]SiC的变形孪晶和相变演化,(b)在等效缩比下的各斜波粒子速度波剖面。
基于超大规模的分子动力学模拟在揭示原子结构变化和微纳米尺度变形等方面具有独特优势,尤其适用极端加载下材料的动态物理力学问题的研究。实验中已证实晶体碳化硅在高压下可呈现结构相变。强冲击压缩可诱发晶体碳化硅的塑性和相变,而斜波/准等熵压缩在实现强动高压时可极大程度减少温升,实现一定程度的热力解耦。在分子动力学模拟中,准等熵加载方式亦可用较小原子规模实现更宽应变率的加载,匹配与先进实验室极端加载(如激光冲击等)相当的应变率范围。图1(a)显示了[001]SiC晶体在斜波加载下的变形孪晶和结构相变演化。变形孪晶是其高压塑性变形的主要形式,立方晶体碳化硅的孪晶系统为{111}<112>;而高压相变则是从原子配位数为4的闪锌矿结构到配位数为6的岩盐结构的转变。不同斜率的斜波加载体现了不同应变率的压缩。根据动力学的相似性原理,可用等效缩比下的各斜波粒子速度波剖面比较分析材料响应的率相关性(图1(b))。结果显示,动高压引起的塑性和相变行为存在显著的率相关特征,且呈现显著的各向异性。
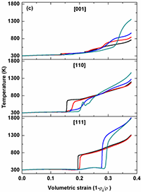
进一步,采用无应力波形式的等效准等熵加载方式实现更宽应变率范围内的碳化硅塑性和相变研究。从纵向应力、剪应力和温度曲线对比可见立方碳化硅晶体的塑性和相变阈值具有显著的各向异性和率相关性(图2)。研究分析结果显示,这种各向异性主要来源于弹性各向异性而非孪晶系统的Schmid因子差异。以[001]SiC在高应变率(108 s-1)压缩为典型例子(图3),随着压缩的增加,纵向应力在诱发塑性孪晶之前持续增加而剪应力则先增后减,对应的温升较低。研究表明,此阶段剪应力的降低是材料呈现一定软化趋势的结果。持续的压缩下,应力和温度曲线均依次呈现不同的突变,这对应了碳化硅晶体材料中不同的响应。通过晶格原子的转角和配位数分析,高压下碳化硅变形孪晶的塑性变形积累是固-固结构相变的重要前期响应。在[001]SiC中负剪应力的出现是材料过度“约束释放”的结果。随着压缩的继续增加,碳化硅的剪切强度得到回升。这说明了碳化硅在高压塑性和相变下依旧具有剪切强度,这是碳化硅作为名义上的脆性材料与其他陶瓷类材料等表现出的重要差异,这与前人实验研究结果相互支撑。



图2 不同应变率准等熵加载下[001]、[110]和[111]SiC晶向的纵向应力、剪应力和温度曲线
通过对不同配位数原子的统计分析,发现立方晶体碳化硅岩盐结构高压相的形成经过了原子配位数为5的中间相结构,中间相的大量积累促进了岩盐结构高压相的形成。这样的转化率与加载晶向有关,且随加载应变率增加而降低。研究显示,该高压相变的彻底完成所需压缩超过180GPa,可高达200GPa以上,这与最近美国普林斯顿大学与SLAC国家加速器实验室和劳伦斯利弗莫尔、洛斯阿拉莫斯和阿贡等国家实验室联合原位探测到激光冲击下立方碳化硅高低压相共存且低压相到高压相的转变在200GPa以上的高压完成的现象相互支撑。该工作为碳化硅的动高压响应实验和模拟研究提供了新的有益参考。

图3 准等熵压缩下[001]SiC的变形演化。(a)应力和温度曲线,(b)晶格原子空间转角演化,(c)原子配位数演化。
因此,该研究工作基于大规模分子动力学模拟研究了斜波\准等熵压缩下碳化硅的材料响应,揭示并分析了碳化硅弹性、塑性和相变的各向异性和应变率影响规律,该工作为碳化硅的动高压响应实验和模拟研究提供了新的有益参考。近几年,姚小虎教授课题组围绕“极端加载下碳化硅的变形、损伤和破坏行为和机理研究“工作,以李旺辉博士为主要负责人,相关研究成果已持续在固体力学和材料顶级期刊发表多篇高水平学术论文,其中《Acta Mateialia》3篇(2017、2019、2020)、《International Journal of Plasticity》1篇(2020),在专业研究领域产生了积极影响。
该系列研究工作受到国家自然科学基金杰出青年基金、面上项目基金、青年项目基金的支持和博士后创新人才支持计划项目等的支持。
附作者与团队介绍:
华南理工大学姚小虎教授研究团队秉承“立足国家战略需求,聚焦前沿,开放包容“的研究思想,与国内外多家单位机构交流合作。国际上,与美国阿拉莫斯国家重点实验室、加州大学圣芭芭拉分校、普渡大学、南加州大学、德州农工大学联合开展多项研究工作,相关研究成果已在《Journal of the Mechanics and Physics of Solids》、《International Journal of Plasticity》、《Acta Materialia》、《Carbon》、《International Journal of Impact Engineering》等固体力学和材料领域顶级期刊上发表多篇论文。研究领域主要涉及非晶合金、高熵合金、碳化硅陶瓷、航空透明材料、聚合物软材料、碳纤维复合材料等在强动载下的变形、损伤和破坏机理。
李旺辉,博士后助理研究员,2018年获华南理工大学固体力学博士学位,2019年入选人社部“博士后创新人才支持计划”。现主持国家自然科学基金青年项目,中央高校基本科研业务费-面上项目以及横向项目等。
论文链接:https://doi.org/10.1016/j.ijplas.2020.102923