
研究解读
生物质因其资源丰富、绿色可再生的特性,被广泛视为是极具潜力替代传统化石资源的可持续原料。然而,当前生物质的高值转化利用技术仍处于发展初期。其中,作为纤维素资源高值利用中的关键中间步骤,葡萄糖异构化依然面临着催化效率低、副反应多、选择性差等核心挑战,极大地阻碍了纤维素利用技术的进一步发展。为解决这一问题,近年来,研究人员开发了含有不同活性位点的催化剂,探究了活性位对反应性能的影响,其中,Lewis酸性位点表现出良好的葡萄糖催化异构化活性,是主流研究的核心催化中心。然而,现有的研究体系中仅对催化剂上的Lewis酸强度和含量给予了较为广泛的定量定义,并且不同体系中Lewis酸位点微观结构存在较大偏差,使得定向设计具有高活性催化剂极具挑战,缺少相应的催化剂设计指导理论。金属有机框架材料(MOFs)因其具有结构高度长程有序以及活性位点微观结构可精细调控等优质特征,是研究葡萄糖异构化机制和开发高性能催化剂的重要平台。
因此,基于上述问题,华南理工大学轻工科学与工程学院、先进造纸与纸基材料全国重点实验室任俊莉教授与王兴杰副教授课题组以UiO-66为平台,通过可控引入不同类型和不同含量的单齿或双齿含磺酸基有机配体(图1),原位构建了两组同构的功能化MOFs催化剂,实现对UiO-66基催化剂上Lewis酸位点(Zr4+)强度、含量、以及微观环境的精准梯度调控。通过结合葡萄糖异构化催化活性,该研究准确建立了Lewis酸特定结构性质与葡萄糖异构化催化行为之间的定量关系,为催化剂定向设计提供了切实可行的理论依据。

图1. 系列同构UiO-66基催化剂设计策略。
研究首先比较了四种不同功能化配体(STPA、mSBA、pSBA和pCl-SBA)修饰的UiO-66催化剂在相近配体引入量下的异构化表现。结果显示,pCl-SBA修饰的催化剂表现最优,葡萄糖转化率达48%,果糖选择性高达80%,显著优于其他类型。分析表明,其卓越性能主要得益于催化剂中更高数量和更强强度的Lewis酸位点,尤其是弱酸和中等强度酸的贡献突出,强调了酸性位点的数量与分布是决定催化性能的关键因素。

图2. 功能化UiO-66的结构表征与催化性能。(a) Zr 3d XPS谱图;(b) NH₃-TPD酸性分析曲线;(c) 吡啶吸附红外(Py-IR)数据;(d) 具有相似功能化配体含量的不同MOFs催化性能对比;(e) 催化性能与不同催化剂路易斯酸含量的关系;(f) 催化性能与不同催化剂中中弱酸位点总量的关系。反应条件:催化剂30 mg,葡萄糖300 mg,GVL 19 mL,甲醇1 mL,在140 °C反应2h。
为进一步探索Lewis酸位点含量和强度的精细调控机制,研究人员将焦点聚集于同一功能配体(STPA)引入量的调控效应。以可实现宽幅调控的UiO-66-STPA系列为模型,通过系统调节STPA引入比例(10%–75%),深入分析了Lewis酸位点的数量与强度变化对催化性能的影响。研究表明,葡萄糖转化率与Lewis酸总量呈显著正相关。更为关键的是,弱酸位点比例的提升及其强度的提高,能够有效增强果糖选择性(见图3),强调了弱Lewis酸在控制反应路径、抑制副反应中的核心作用。这一发现不仅完善了MOFs催化剂Lewis酸位点调控策略,也为高选择性葡萄糖异构化催化剂的理性设计提供了理论依据。

图3. 不同STPA引入量UiO-66-STPA催化剂的结构表征与催化性能。(a) 氮气吸附-脱附等温线;(b) Zr 3d XPS谱图;(c) NH3-TPD曲线;(d) 不同配体引入量催化剂的葡萄糖异构化性能;(e) 催化性能与路易斯酸含量的关系;(f) 果糖选择性与弱酸/总酸比例的关系。反应条件:催化剂30 mg,葡萄糖300 mg,GVL 19 mL,甲醇1 mL,在140 °C反应2h。
密度泛函理论(DFT)计算显示,随着STPA含量的提高,Zr位点周围的电子密度明显降低(ESP图中色调由浅黄逐步转为深红),表明配体具备更强的电子吸引能力,从而增强了Zr中心的Lewis酸性(图4)。这一电子结构变化趋势与XPS和酸性表征实验高度一致,有力支撑了“配体定量调控—酸性可控调节”的机制解释。进一步分析表明(图5),STPA引入还使材料的带隙持续缩小,提升了电子迁移能力,有助于转化效率提升。这些理论结果与实验中观察到的催化性能增强保持高度一致,验证了配体比例优化的电子结构基础。

图4. UiO-66及不同STPA引入量UiO-66-xSTPA(x表示每个簇内STPA配体的数量)的静电势(ESP)表面分布图,包括极值点标注。颜色标尺表示ESP分布:蓝色(负)代表电子密度高,绿色代表电荷分布均匀,红色(正)代表电子密度低。浅蓝色球体表示极小值点,黄色球体表示极大值。

图5. 不同STPA配体引入数量下UiO-66的分子轨道分布:(a) HOMO分布;(b) LUMO分布。
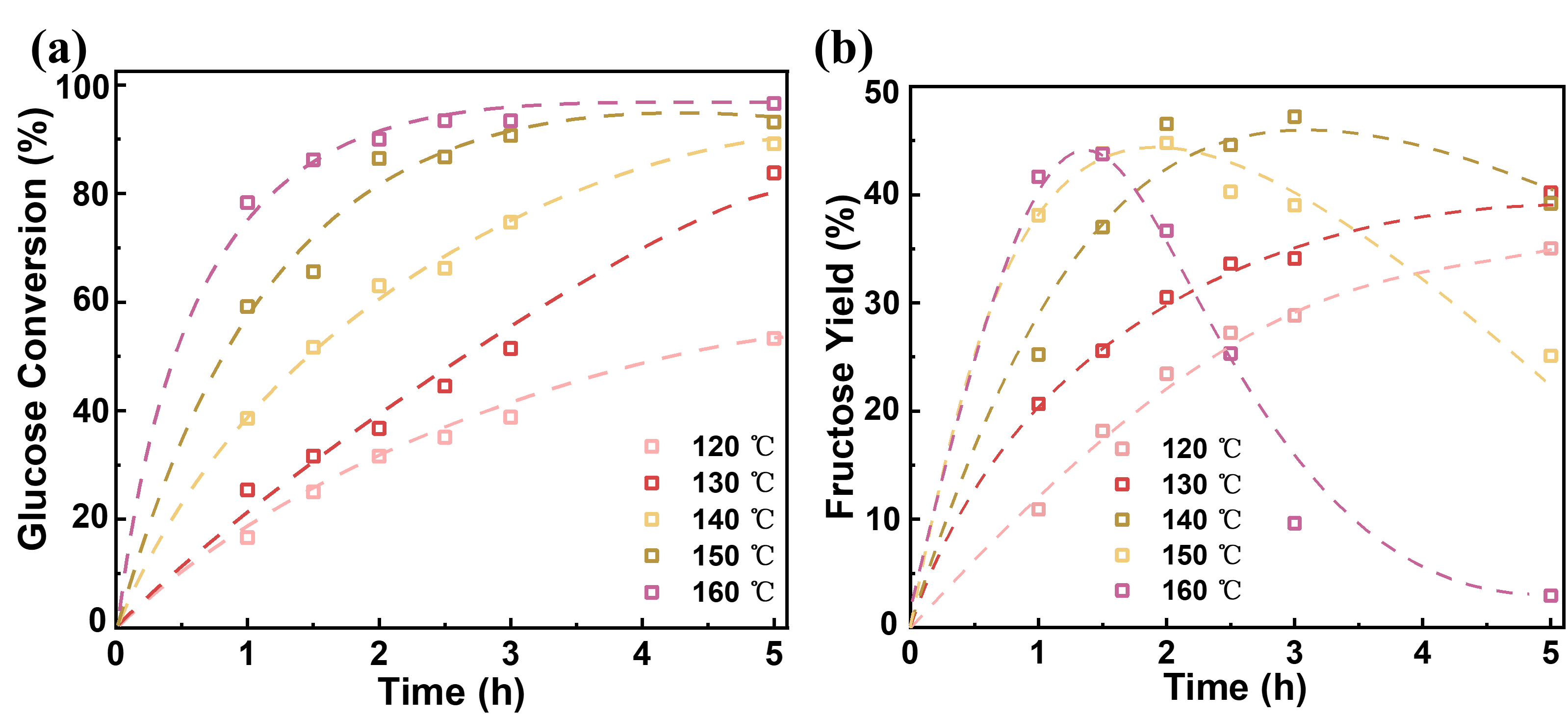
通过动力学模型拟合与速率常数计算,确定葡萄糖异构化和果糖降解均符合一阶反应规律(图6),其活化能为74.70 kJ/mol和51.23 kJ/mol,表明果糖更易发生降解反应。因此,确定140 °C反应2 h为最佳条件,实现了63%转化率和47%果糖产率的平衡表现。此外,结合反应机理分析指出,STPA功能化UiO-66通过增强Zr位点路易斯酸性,有效促进葡萄糖开环和氢迁移过程,同时抑制副反应生成,实现了活性与选择性的双重提升。

图6. UiO-66-STPA(49%)的动力学行为研究:(a) 不同反应温度下葡萄糖转化率随反应时间的变化;(b) 不同反应温度下果糖产率随反应时间的变化。
该研究围绕葡萄糖异构化这一关键生物质转化反应,提出并实现了一种基于功能化配体调控的UiO-66系列MOFs催化剂设计策略。通过系统引入多种磺酸基配体并调控其类型与引入量,成功构建了具备不同酸性特征的一系列催化剂,实现了对路易斯酸位点数量与强度的精准调控。实验结果表明,催化性能的提升来源于中等强度的弱酸位点的优化分布,特别是弱酸比例的提升显著增强了果糖选择性。其中,UiO-66-STPA(49%)催化剂表现出优异的催化性能,在63%葡萄糖转化率下实现47%的果糖产率和75%的选择性。进一步结合DFT理论计算,揭示了配体引入对Zr电子环境、轨道分布及酸性强度的深层调控机制。综上,该研究不仅明确了结构-酸性-性能之间的内在关联,也为高效MOFs催化剂的理性设计提供了理论基础和实践路径。
论文信息
相关研究成果以“Unlocking Precision in Biomass Conversion through Functional Ligand Engineering of Lewis Acidic MOFs”为题发表于《Angewandte Chemie International Edition》。本研究得到国家自然科学基金(No. 22408112)、广东省科技厅“珠江人才计划”(No. 2023QN10L438)和先进造纸与纸基材料全国重点实验室(No. 2024ZD05)等项目的资助。华南理工大学博士研究生徐庆崇为论文第一作者,任俊莉教授与王兴杰副教授为共同通讯作者。
文章链接:https://doi.org/10.1002/anie.202508256
通讯作者简介

任俊莉,华南理工大学教授,博士生导师。主要从事农林生物质炼制的应用基础研究,入选国家级高层次人才、爱思唯尔2020/2021/2022/2023/2024中国高被引学者,在Angew、AM、CEJ、GC、BT等国内外学术期刊上发表200余篇论文,研究成果获教育部自然科学一等奖2项、二等奖2项,梁希林业自然科学二等奖3项。兼任国家林草局“林木生物质清洁分离及转化国家创新联盟”副理事长、岭南文献保护研究中心副主任,以及Industrial Crops and Products、Paper and Biomaterials等期刊编委。
王兴杰,工学博士,华南理工大学副教授、博士生导师。主要从事化工分离与反应工程、生物质催化转化、光/热异相催化等领域的应用基础研究,前期围绕节能工艺、环境安全等国家重大战略需求,在绿色化学工艺、生物质资源化利用等方面取得了系列成果。至今,以通讯作者或第一作者在JACS、Angew、Matter、ACS Catal..等期刊发表二十余篇学术论文,论文他引次数大于4000次,H因子38。主持国家自然科学基金青年项目、教育部专项、广东省人才项目等多项科研项目,担任《ACS Applied Material & Interfaces》、《Green Carbon》、《CleanMat》等期刊青年编委,并入选美国斯坦福大学“全球前2%顶尖科学家”榜单。