
研究背景
对非食用淀粉等天然高分子高值化利用有助于“双碳”战略目标达成和解决石油基聚合物导致的环境污染和能源危机等问题。淀粉气凝胶可以通过糊化、冻干等制备方式对其颗粒织态进行破坏,获具低成本和密度、大比表面积、高孔隙率三维多孔结构,应用价值高。但化学未交联淀粉气凝胶抗极性溶剂性能差,且其多孔结构易塌缩导致难有效调控其微观结构。为克服上述问题,华南理工大学制浆造纸工程国家重点实验室张水洞教授课题组采用热塑加工(挤出和密炼等)提高界面反应形成盐桥和可逆动态键的效率,制备微观形态可控和超高强度(>80MPa)的淀粉气凝胶,并展示原位光降解和光-热-电高效转化的性能,在环境污染和可持续能源领域具潜在应用价值。
图文解读
在前期探索研究中,张水洞教授课题组通过反应挤出实现多元酸与淀粉羟基和极性增塑剂三者之间形成复杂的氢键而增加氢键长度、降低成键角度而弱化氢键作用力,可批量化和高效率制备淀粉热塑性胶(TGTPS)。在此基础上,该课题组以马来酸酐弱碱环境低温酯化制备热稳定性良好的羧基化淀粉(MS,羧基含量10%~100%),调控MS、甘油和氧化锌含量及加工参数,以挤出/密炼的方式获可重复热塑加工的淀粉气凝胶。受钓鱼“打窝”行为的启发,该课题组将该淀粉气凝胶用于吸附、富集及原位光降解亚甲基蓝(MB)。结果表明,淀粉气凝胶以1.67×10-3 min-1的速率去除97%的MB(溶液浓度为10 μM),且经5次重复热塑加工后的淀粉气凝胶仍能保持90%MB去除率。

图1. (a) TPS-3ZnO和0.4TPMS-3ZnO对MB光降解的循环实验。(b) TPS-3ZnO和0.4TPMS-3ZnO第5次降解循环溶液中的锌元素浓度。(c) 已报告光降解体系的光降解速率常数比较。 (d) 淀粉气凝胶对MB的吸附和原位光降解示意图。
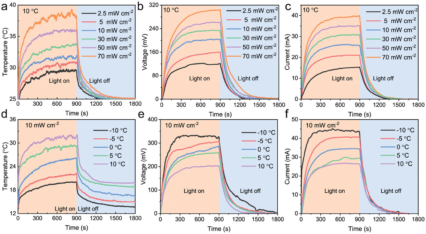
随后,该课题组进一步利用结构可控的羧基淀粉、环氧化天然橡胶和羧基化碳纳米管,通过热塑界面反应制备淀粉vitrimers。进而采用溶胀及冷冻干燥,获得孔径高达152.9 μm全通孔的淀粉vitrimers气凝胶(有助于高效填充相变材料),经过4次反复热塑加工,该气凝胶强度仍具44MPa。以PEG为负载相变材料的淀粉vitrimers气凝胶基相变复合材料(PCC)压缩强度高达85.8 MPa。羧基淀粉vitrimers气凝胶与PEG形成较强的氢键作用力,从而获得优异的抗泄露性能。当羧基化碳纳米管含量仅为0.8%,将PCC与温差发电片组装的光-热-电(STE)发电机能在-10 °C和10 mW cm-2光强条件下,能在300秒内产生20 °C、325 mV输出电压和45 mA电流等能量,并且保持稳定的能量输出,从而为寒冷地区自供热和自供电提供新策略。


图2. (a) MEC和PCC制备过程和反复热塑加工性能。
如图2所示,采用密炼热塑加工方法,调控甘油、羧基淀粉和羧基碳纳米管的含量,可以实现羧基淀粉vitrimers气凝胶简便、体积塌缩率低、规模化和反复加工制备,从而为结构可精准调控的气凝胶提供新策略。实验结果进一步发现,保持淀粉气凝胶具有一定的导热率,有助于光-热-电转化率的提升。


图3. (a) STE发电机示意图及光热转化性能。
基于CNNT在高直径的通孔淀粉气凝胶开孔壁上的有序分布,PCC对自然光具有超宽波长范围的吸收,从而能实现高效的光-热-电转化效率,能产出高达102.4°C及其对应的电压和电流(辐照光强度为200 mW cm-2),优于已有文献报道。当外界温度越低,其产热和产电能力获得提升。
以上研究改变了淀粉气凝胶脆性和功能单一性特征,基于热塑界面反应对淀粉链交联密度及动态可逆交联性能的调控,实现了淀粉气凝胶微观形貌精准调控及可重复加工性,拓宽了淀粉气凝胶的制备策略和应用范围。该研究通过热塑加工制备并调控淀粉气凝胶结构及性能的方法,为淀粉热塑性凝胶的结构调控及其在环境修复和可持续能源等绿色低碳领域新应用提供了新思路。
论文信息
相关研究成果以“Ultrastrong and reusable solar‒thermal‒electric generators by economical starch vitrimers”为题发表于《Small》。论文通讯作者为华南理工大学张水洞教授,第一作者为课题组博士研究生高兵兵。
论文链接:https://onlinelibrary.wiley.com/doi/10.1002/smll.202401706