研究背景
随着世界人口的增长和现代工业的快速发展,社会对能源的需求不断增大,能源短缺问题日益凸显。利用资源丰富的农业秸秆转化生物乙醇,对于提高资源利用率、缓解能源短缺问题具有积极意义。如何实现农业秸秆的组分分离和利用是困扰已久的难题。蒸汽爆破作为应用较为广泛的一种预处理工艺,通过高温高压水蒸气处理和瞬时释压的方式实现生物质组分分离。然而,蒸汽爆破预处理普遍存在由反应温度高、压力大等带来的高能耗问题,且过高的温度会导致半纤维素降解生成的木糖转化为甲酸、乙酸、糠醛等抑制物,限制酶水解和发酵的效率。针对这一难点,华南理工大学制浆造纸工程国家重点实验室任俊莉教授课题组提出了使用低酸喷雾协同汽爆预处理小麦秸秆的新工艺。
图文解读
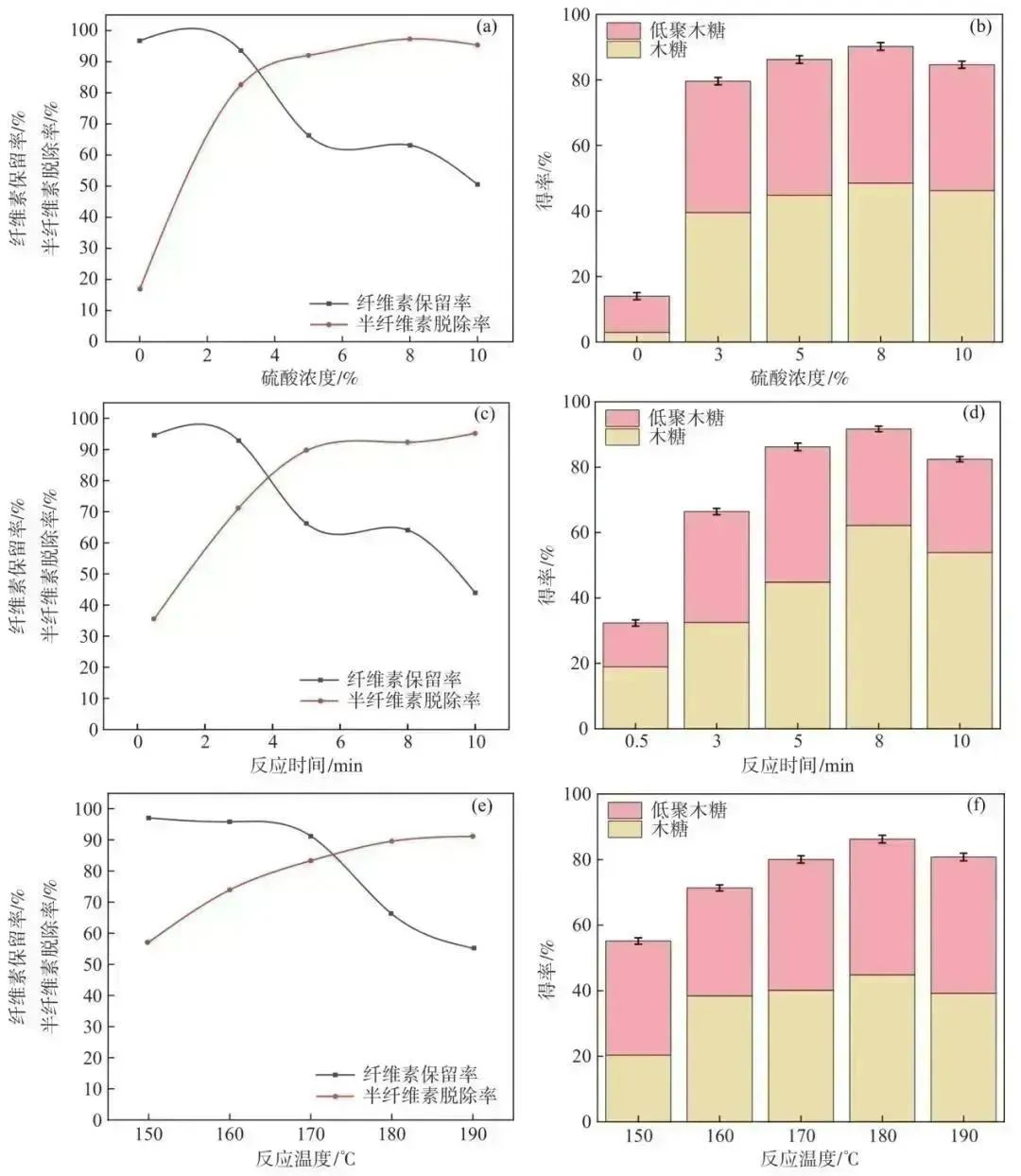
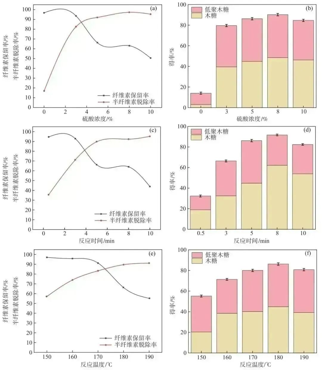
首先以低浓度的硫酸喷雾对3~5 cm的小麦秸秆进行处理,然后对小麦秸秆进行汽爆预处理,实现纤维素、半纤维素和木质素三大组分的组分分离,最后对汽爆残渣和水解液进行组分分析,并使用纤维素酶对残渣进行酶水解处理,探究其酶水解效率。实验流程图如图1所示,汽爆残渣和水解液组分分析结果如图2所示。

图1 实验流程图

图2 预处理条件对小麦秸秆及水解液组分的影响
综上,基于纤维素保留率和半纤维素脱除率,最优预处理条件为:喷雾硫酸浓度5%、汽爆温度为170℃(0.79 MPa)、保压时间5 min。该条件下,纤维素保留率达91.3%,半纤维素脱除率达83.4%,水解液糖得率为80.1%。近年来对农业秸秆的蒸汽爆破预处理研究普遍使用较高的反应压力(≥1.5 MPa)、较长的保温时间(≥10 min),在脱除半纤维素获取木糖的同时也导致纤维素大量损失及能耗偏高的问题。与之相比,本研究在相对较低的反应温度和较短的保温时间下实现了高纤维素保留率并脱除大部分的半纤维素,同时得到较高的水解糖得率。在组分分析结果的基础上,使用纤维素酶对汽爆残渣进行酶水解处理,结果如图3所示。

图3 预处理条件对酶水解反应的影响
汽爆预处理可显著提高小麦秸秆的酶水解效率。经180 ℃-5 min汽爆预处理,小麦秸秆酶水解72 h后葡萄糖酶解率由原料的20.8%提高到75.4%,在5%硫酸协同作用下,可进一步提高到93.5%。在5%硫酸喷雾、汽爆温度为170℃(0.79 MPa)、保压时间5 min的最优预处理条件下,酶水解反应72 h后,葡萄糖酶解率为84.9%。同时,硫酸浓度越大、反应时间越长、反应温度越高,酶水解效率越高。综上,低酸喷雾协同低温蒸汽爆破能够实现纤维素的高保留率以及优异的酶水解效率,同时获得较高的水解糖得率。酶解后葡萄糖可以进一步发酵制备燃料乙醇,富含戊糖的水解液可以进一步转化为糠醛。该研究为秸秆类农业生物质工业生产乙醇提供清洁低能耗的预处理技术,有效降低了预处理能耗,改善能源利用结构。
文章信息
钟禹, 李由, 吴越, 等.低酸喷雾协同蒸汽爆破预处理对小麦秸秆结构及酶水解的影响[J]. 中国造纸学报, 2022, 37(4): 16-24.
ZHONG Y, LI Y, WU Y, et al. Effects of Low-acid Spraying Combined with Steam Explosion Pretreatment on Structure and Enzyme Hydrolysis of Wheat Straw[J]. Transactions of China Pulp and Paper, 2022, 37(4): 16-24.