2024年11月9日,课题组在SCI一区期刊Ocean Engineering上发表了题为“Scale effects on wave loads and slamming loads in ship hydroelasticity simulation by CFD-FEM method”的研究成果。华南理工大学土木与交通学院的陈振威博士生为论文第一作者,导师焦甲龙副教授为论文第二/通信作者,中国船舶科学研究中心为合作研究单位。论文链接:https://doi.org/10.1016/j.oceaneng.2024.119718
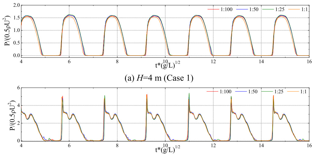
在这项研究中,采用分区CFD-FEM双向耦合方法模拟了不同尺度下(包括三种模型尺度1:100、1:50、1:25和实尺度1:1)船舶的波浪载荷和水弹性,并研究了尺度效应。从时间序列、频谱和统计值等方面比较分析了不同尺度下船舶的波浪增阻、船体运动、波浪载荷、砰击载荷和甲板上浪压力的结果,并研究尺度效应。研究重点为船舶砰击和甲板上浪载荷的尺度效应。

不同尺度模拟的船首部压力分布对比

不同尺度模拟的外飘砰击压力时历曲线对比

不同尺度模拟的砰击压力统计结果对比
该项工作获得了国家自然科学基金等项目和经费的支持。Ocean Engineering期刊由出版商Elsevier BV.以半月刊形式出版发行,影响因子4.6,在海洋领域位于Q1区。
