报告题名:Q-Curvature Equation in Dimension 1
报 告 人:蒋美跃 教授 (北京大学)
报告时间:2017年6月14日(星期三)下午 16:00—17:00
报告地点:四号楼4318室
欢迎广大师生前往!
数学学院
2017年06月13日
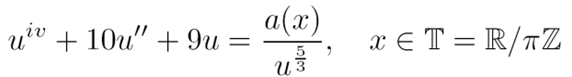
报告摘要:
In this talk we will present an existence result of
periodic solutions of the following equation

which arises from a problem in geometry for positive a on 