在碳达峰、碳中和的国家战略目标背景下,发展低能耗、环境友好的气体分离膜并深刻理解其作用机制具有重要意义。混合基质膜(MMMs)是将无机或无机有机杂化相分散到聚合物基体中形成的杂化膜,具有良好的透过选择性和成本效益。力学性能与无机填料微孔的有效利用之间的权衡仍然是其性能优化的主要障碍之一。然而,这类膜材料实际应用面临着相分离和老化的挑战,以及聚合物/填料界面缺陷带来的意想不到的不利影响。因此,了解填料/聚合物在微观尺度上的相互作用及其对各组分特征性能的影响,对于合理设计混合基质膜至关重要。近日,华南理工大学殷盼超教授课题组通过超分子作用(氢键和配位作用),以聚(4-乙烯基吡啶)(P4VP)为聚合物基体,配位纳米笼(CNCs)为填料制备了气体分离膜。P4VP与纳米笼之间的强相互作用减缓了聚合物动力学,使聚合物链段更加刚性,导致聚合物基体的受挫堆积和密度降低。这种效应使得纳米笼的微孔可以接触到外部气体分子,有助于体现MMMs中纳米笼的固有微孔,同时增强了透过选择性。超分子合成和聚合物动力学的简单策略为合理设计用于气体分离的功能杂化膜铺平了道路。

图1. CNCs和P4VP复合的MMMs设计
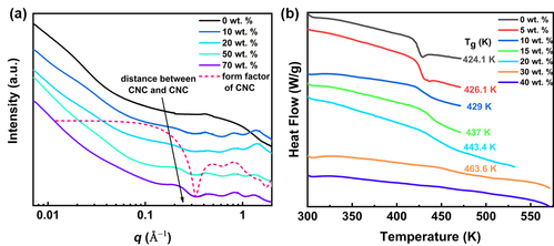
基于该团队在散射方面的深厚积淀,小角X射线散射(SAXS)及广角X射线散射(WAXS)手段首先被用来表征CNCs在聚合物基体里是否均匀分散(图2a)。在所有MMMs中都可以观察到CNCs的形状因子,没有任何结晶峰,说明CNCs骨架结构的完整性和均匀分散性。对于高CNCs含量的MMMs,在SAXS数据的低q范围(0.06 ~ 0.3 Å -1)可以观察到一个宽峰,该峰可以被指定为CNCs的结构因子(相邻CNCs在聚合物基体中的平均距离)。结果表明,即使在高含量下,P4VP中CNCs也是随机分散没有聚集。
CNCs具有超小的尺寸和丰富的表面位点,对P4VP链段施加强烈的纳米限制效应,导致P4VP链动力学减慢,热性能改善。由图2b可以看出,随着CNCs含量的增加,与纯P4VP相比,MMMs的Tg呈明显增加趋势,玻璃化转变阶段变得更宽。有趣的是,40 wt. %和更高CNC含量的MMMs在300 - 580 K的温度范围内没有表现出明显的玻璃化转变,这表明其极高的Tg(高于分解温度)和缓慢的聚合物动力学

图2. CNCs和P4VP复合的MMMs的结构和热力学性能
为了更加深入地探讨小纳米粒子的加入对聚合物链段运动的影响,研究人员对不同比例的MMMs进行了宽频介电的测试来表征P4VP链段的弛豫过程用来解释纳米受限效应对聚合物动力学的影响(图3)。当CNCs含量较低时(5 wt. %和10 wt. %),可以观察到界面层α’的松弛(图3a)。当CNCs含量较高(20 - 70 wt. %)时,CNCs的总表面积足够大,可以确保它们与大多数聚合物链结合,这使得聚合物链的动力学均质化(图3b)。在超高CNC含量(70 - 90 wt. %)下,即使在与其分解温度相当的高温(高达533 K)下,其动力学过于缓慢,无法检测到,最终,α弛豫超出了BDS的测试窗口。对界面层和本体高分子拟合结果表明与聚合物kuhn长度相当的超小填料、聚合物主链的刚性以及填料与聚合物基体之间的强相互作用是聚合物受挫堆积的关键。

图3. MMMs聚合物链段动力学
基于上述的动力学研究,CNCs与P4VP复合后刚性增加,从而实现了P4VP在CNCs周围的受挫堆积,使得气体分子可以接触到CNCs的内部空腔。为了证实这一点,研究人员对CNC/P4VP纳米复合材料、纯CNC样品和纯P4VP样品进行了BET分析。纳米复合材料表现出典型可逆的微孔Ⅰ型吸附曲线(图4a),与纯P4VP和CNC样品的气体吸附和孔径分布数据进行比较可以得出,MMMs的固有孔隙是来源于CNC的微孔。

图4. MMMs气体吸附和力学性能
CNC/P4VP纳米复合材料固有的微孔隙率使其具有良好的气体分离性能。然而,纳米复合材料的弹性不够高,不足以承受气体分离测量时的长期(>12小时)气体压差的影响。因此,将小比例的柔性聚合物nBA与P4VP共聚改善力学性能。再将得到的共聚物与CNCs复合形成CNC含量相对较高,弹性比较好的膜,最终能够承受长期的气体压差冲击。研究人员在室温下分别对CO2、N2、CH4和O2的透过量进行了测试,测试结果显示,与纯聚合物相比,MMMs的透过量更高。如图5a,e所示,与其他填料基的MMMs相比,CNC基MMMs透过量高,与纯聚合物相比,选择性有所提高,这预示了MMMs在CO2分离和天然气富集方面有潜在应用前景。
为了深入了解气体传输机制,研究人员基于吸附-扩散模型计算得出材料的扩散系数和吸附系数。由于CNCs的固有微孔,增加了CH4在MMMs中的扩散系数(图5b)。由于CO2与CNCs中Rh中心的开放位点结合,使得CO2在CNCs中优先吸附,导致CO2的吸附系数增加(图5b)。在加入CNCs后,吸附选择性从1.2显著增加到9.2,这表明CO2/CH4的选择性主要来自于CNCs对CO2/CH4的优先吸附,不同于纯玻璃态聚合物主要是基于扩散来进行选择(图5c)。为了进一步验证这一观点,MMMs中CNCs的孔道被非挥发性溶剂完全占据,MMMs仅表现出扩散选择性的特征,同时选择性和透过量与孔道打开的MMMs和纯聚合物相比都要低得多(图5e)。

图5.MMMs的气体分离性能
这一成果近期发表在Nano Lett.上,本文的第一作者为华南理工大学博士生刘媛,华南理工大学蔡林坤博士生、马利涛博士、李牧博士生、杨俊升博士、陈坤副教授为该体系全面的结构、动态行为和气体吸附与分离性能表征提供大量支持。本文的通讯作者为华南理工大学殷盼超教授
Modulating Polymer Dynamics via Supramolecular Interaction with Ultrasmall Nanocages for Recyclable Gas Separation Membranes with Intrinsic Microporosity
Yuan Liu, Linkun Cai, Litao Ma, Mu Li, Junsheng Yang, Kun Chen, Panchao Yin*
Nano Lett., 2021, DOI: 10.1021/acs.nanolett.1c02379
论文连接:
https://pubs.acs.org/doi/10.1021/acs.nanolett.1c02379
通讯作者简介:

殷盼超,理学博士,博士生导师,华南理工大学教授。2009年毕业于清华大学化学工程系,获工学学士学位;2013年获美国理海大学化学系博士学位;2013年至2015 年在美国阿克伦大学高分子科学系从事博士后研究,合作导师为刘天波教授。2015年至2017 年荣获美国橡树岭国家实验室的 Clifford G. Shull Fellowship 支持以研究员身份开展独立科研工作。之后在国家人才计划项目的支持下于2017年加入华南理工大学软物质科学与技术高等研究院和发光材料与器件国家重点实验室工作,2017年入选福布斯中国医疗、健康和科技组30位30岁以下精英榜,2020年获得Arthur E. Martell Early Career Researcher Prize。课题组以聚合物复合单分散、多功能的纳米无机分子簇为模型体系,采用X光、中子散射以及宽频介电谱为主要研究手段,从原子/分子到纳米分子簇以及介观尺度,解析材料合成反应动力学和材料动态行为机制,凝练材料形成机理和构效关系理论,进而反馈复合材料多尺度结构设计原则,实现复合材料的性能、功能按需集成化。迄今共发表SCI收录论文108篇。近五年发表通讯作者文章40余篇,包括2篇J. Am. Chem. Soc.、3篇Angew. Chem. Int. Ed.、2篇Nano Lett.、1篇Chem. Sci.、2篇J. Phys. Chem. Lett.、2篇Macromolecules等文章。获得授权专利3项、PCT专利1项、散射数据和介电数据拟合软件软件著作权2项。主持国家重点研发计划核心课题、国家自然科学基金国际合作和面上项目、广东省科技厅项目以及中央高校业务费等项目。
课题组欢迎对于材料和化学相关物理机制感兴趣的学者加入,联系方式:yinpc@scut.edu.cn

