科研动态
- 华南理工大学吴钊课题组Nature Synthesis: 高张力环炔介导的羰基1,2-转位新策略 04-17
- 孔宪教授课题组本科生独立工作发表在Mol. Syst. Des. Eng.:电荷监督的等变架构实现数据高效的分子性质预测 02-04
- 华南理工大学孔宪教授团队 《Small》:不对称表面电荷修饰调控受限聚合物电解质中的溶剂化结构和离子电导率 01-28
- 华南理工王宇团队JACS: AI赋能确立“催组装三要素”新原理,开辟手性材料智能创制新范式 12-25
- 华南理工王辉副教授 Nature Communications :靶向线粒体的自发光氟化高分子纳米粒动脉粥样硬化治疗! 11-10
- 华南理工孔宪教授 AFM:PEO基聚合物电解质中氟化模式对溶剂化和离子传输性质的调控 11-10
随着柔性电子技术的快速发展,对透明、耐热、机械强度高的基底材料需求日益增长。然而,现有无色聚酰亚胺材料在性能调控上仍面临显著挑战。现有分子设计策略(如引入大位阻取代基、氟原子或脂肪环结构)虽可有效抑制电荷转移复合物(CTC)效应,却往往以牺牲玻璃化转变温度(Tg)或增加热膨胀系数(CTE)为代价,导致材料难以承受高温工艺(如溅射、蒸镀),制约其在折叠显示、可穿戴设备等高端柔性电子领域的应用。近期,华南理工大学前沿软物质学院(华南软物质科学与技术高等研究院)王林格教授团队受珍珠母层中有机-无机配位结构增强材料性能启发,提出并实现了一种结合分子工程与金属配位的新策略,成功开发出一类兼具高透明性和高稳定性的无色聚酰亚胺复合薄膜。该研究以“Nacre-Inspired Coordination Networks for Transparent, Ultra-Stable Polyimide Films in Flexible Electronics”为题,发表在《Advanced Functional Materials》期刊上(Adv. Funct. Mater. 2025, e13521),文章第一作者为华南理工大学前沿软物质学院博士研究生高艳雨。

图1 含吡啶结构的新型二胺单体、聚酰亚胺以及无色聚酰亚胺复合薄膜的制备
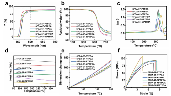
研究团队设计合成了六种含吡啶结构作为配位点的芳香二胺单体(图1a),与六氟二酐(6FDA)聚合,构筑主链刚性可调的无色聚酰亚胺(图1b)。通过精细调控取代基的空间位阻和电负性,实现对分子链构象和CTC形成的有效调节,从而调控无色聚酰亚胺薄膜性能(图2)。在此基础上,进一步引入Zn²⁺构建动态N—Zn—N配位网络(图1c)。相关结构经X射线光电子能谱(XPS)、红外光谱(FTIR)及密度泛函理论(DFT)辅助的静电势分布与配位构型计算证实,Zn²⁺可稳定配位于吡啶氮原子上(图3),从而在聚酰亚胺分子之间形成有效的链间连接与增强作用。该复合结构赋予材料卓越的性能协同性,在保持优异光学性能的同时,显著提升了热力学与机械性能(图3)。当锌离子与二胺的摩尔比为0.2比1时,所得复合薄膜达到最佳性能,在保持89.3%的光学透过率前提下,Tg提升至338.5 °C(提升了16.6%),热膨胀系数降低至45.8 ppm K⁻¹(降低了20.6%),拉伸强度提高至138 MPa(提升了46.8%)。该高性能CPI复合膜成功应用于多种柔性电子器件:包括快速响应、耐弯折的柔性压阻传感器和稳定发光的柔性ACEL器件(图4)。Zn²⁺的加入不仅构筑仿生配位网络结构,还兼顾光学均匀性与生物安全性(图3h),为新一代柔性器件基材设计提供了仿生策略的新范式。

图2 六种无色聚酰亚胺薄膜的光学、热以及机械性能表征

图3 复合薄膜的Zn²⁺配位构筑机制以及光学、热学、机械性能表征

图4 复合薄膜应用于高性能柔性电子器件的结构与功能演示
该工作是团队近期关于高性能无色聚酰亚胺薄膜构筑的又一重要进展。传统CPI材料因CTC效应难以兼顾透明性与热稳定性,团队结合芳香骨架调控、侧基电子效应与动态金属配位等多重策略,初步打破了性能间的平衡限制。在此前的研究中,团队已在无色聚酰亚胺材料方面取得一系列成果,包括利用取代基调控、构建不对称结构、刚性非共平面结构设计等手段,调控CPI的光学、机械和热性能(ACS Applied Materials & Interfaces 2024, 16 (36), 48005−48015)。此次研究在结构创新的基础上,通过仿生Zn²⁺配位进一步引入“配位增强理论”,不仅强化了CPI材料的多性能协同,更实现了器件的集成应用验证,展示了薄膜的实用潜力。为柔性电子领域高性能基材的设计提供了新路径。
原文链接:
https://doi.org/10.1002/adfm.202513521
