科研动态
- 华南理工大学吴钊课题组Nature Synthesis: 高张力环炔介导的羰基1,2-转位新策略 04-17
- 孔宪教授课题组本科生独立工作发表在Mol. Syst. Des. Eng.:电荷监督的等变架构实现数据高效的分子性质预测 02-04
- 华南理工大学孔宪教授团队 《Small》:不对称表面电荷修饰调控受限聚合物电解质中的溶剂化结构和离子电导率 01-28
- 华南理工王宇团队JACS: AI赋能确立“催组装三要素”新原理,开辟手性材料智能创制新范式 12-25
- 华南理工王辉副教授 Nature Communications :靶向线粒体的自发光氟化高分子纳米粒动脉粥样硬化治疗! 11-10
- 华南理工孔宪教授 AFM:PEO基聚合物电解质中氟化模式对溶剂化和离子传输性质的调控 11-10
随着越来越多纳米尺度的分子簇结构的出现,小角X射线散射被广泛的应用于其形貌结构的表征。然而,对于具有新月形截面环形结构的粒子,如一类被称为钼蓝的多酸分子簇,已有的散射模型在分析其小角散射数据时遇到了较大的困难。因此,为了拟合这一类结构的小角散射数据,华南软物质科学与技术高等研究院殷盼超课题组建立了一种新型的散射模型,命名为custom carved ellipsoid,并且在椭球坐标系下推导了其散射方程。

图1,左侧为经典的环状多酸结构和Torus模型;右侧为文章中新提出的custom carved ellipsoid模型
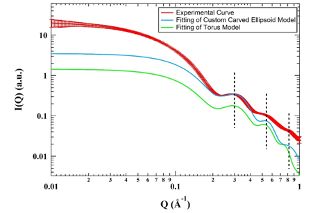
从得到的散射方程出发,该课题组通过数值积分的方法得到该模型的理论散射曲线,并且借助并行计算可以大大加快整个过程的计算速度。该模型已经被成功应用于拟合一些钼蓝的小角散射实验曲线中。与已有的最接近与钼蓝的散射模型,圆环体模型相比,custom carved ellipsoid模型比圆环体模型具有更好的拟合结果。

图2,Torus和custom carved ellipsoid模型对实验曲线的拟合情况。
该工作在《Journal of Applied Crystallography》在线发表。华南理工大学为文章唯一单位,我院李牧同学为文章第一作者,殷盼超教授为通讯作者。该工作得到了科技部重点研发计划(2018YFB0704200),国家自然科学基金(51873067)和华南理工大学中央高校业务费(2018JQ04)的支持。样品测试得到了上海光源BL16B线站的大力支持。
Li, M.; Yin, P., Scattering functions of carved-ellipsoid-shaped particles. J. Appl. Crystallogr. 2019, 52 (1), doi:10.1107/S1600576718016771.
链接:https://onlinelibrary.wiley.com/iucr/doi/10.1107/S1600576718016771
