| [学术成果]黄桂同学系统地探究了优化数字全息显微镜轴向定位精度的因素(相关成果发表在Optics Express上) | 
| 发布时间: 2018-07-05 浏览次数: 321 | 
| 
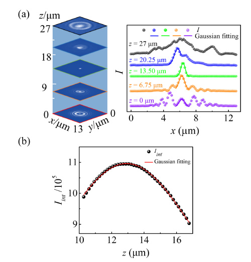
 Improving axial resolution for holographic tracking of colloids and bacteria over a wide depth of field by optimizing different factors Abstract: Improving the axial resolution for multiparticle three-dimensional (3D) holographic tracking is crucial but challenging. Here we study the impacts of incident light power, uniformity of the illumination as well as image pixel size on the axial tracking resolution for digital holographic microscopy (DHM). We demonstrate that the resolution highly depends on the image pixel size and the uniformity of the illumination. A 3D localization algorithm based on local-intensity-maxima searching and a Gaussian fit to the integrated intensity of the reconstructed lateral images along the axial direction proves a robust strategy to enhance the axial resolution for colloids and bacteria within a wide depth of field over several tens of micrometers. 
 文章链接:https://www.osapublishing.org/oe/abstract.cfm?uri=oe-26-8-9920  | 
  

