| [研究进展] 胡双燕同学利用有机碱催化实现交替共聚反应(相关成果发表在 Macromolecules上) | 
| 发布时间: 2016-09-16 浏览次数: 234 | 
| 
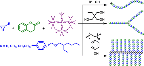
 Ring-Opening Alternating Copolymerization of Epoxides and Dihydrocoumarin Catalyzed by a Phosphazene Superbase 
 文章链接:http://pubs.acs.org/doi/abs/10.1021/acs.macromol.6b00840  | 
  

