| 摆脱强先验依赖:微搜索进化优化实现高精度医学图像抠图 |
| 发布时间: 2026-02-12 浏览次数: 10 |
|
1. 背景介绍 图像抠图旨在预测反映图像不透明度的抠图遮罩,近年来在计算机辅助诊断中展现出巨大潜力,特别是在识别病灶与组织之间的模糊过渡区域方面,这些区域往往包含丰富的病理语义信息,对下游任务至关重要。
根据抠图公式:
对于三通道图像而言,这是一个包含7个未知数但只有3个已知方程的不适定问题。为了求解该问题,通常需要引入先验知识。
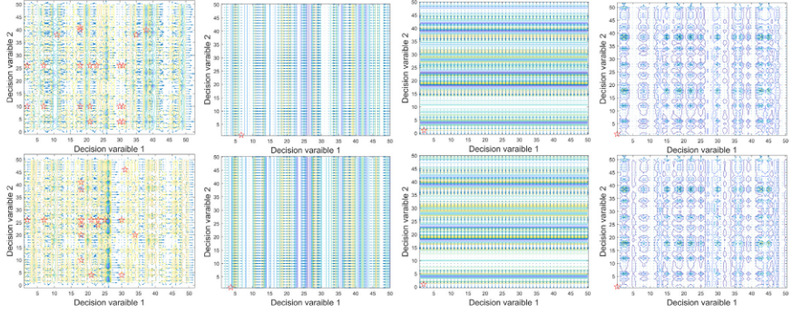
强先验方法:目前主流的深度学习方法通常需要大量的像素级标注数据(强先验),但这在医学影像领域获取成本高昂且困难。 弱先验方法:利用如三分图这样的弱先验信息进行抠图,标注成本低,这些方法包括: l 基于传播的方法:依赖于平滑性假设,即像素在特定区域变化平滑。如果自然图像中存在违反该假设的情况(如纹理复杂),预测精度会受限。 l 基于采样的方法:依赖于从未知像素的周边选取像素对子集。如果子集中的像素对与最优解差异较大,抠图精度会迅速下降。 l 优化类方法:将医学图像抠图问题建模为像素对选择问题,从整个像素对集合中选择像素对。进化算法因其强大的全局优化能力被用于求解像素对选择问题,能够更广泛地搜索解空间,而不局限于局部区域或特定的初始采样质量。然而,像素对选择问题的决策空间规模随着未知像素数量的增加呈指数级增长,增加了进化算法陷入局部最优的风险,降低了进化算法的求解效率。 2. 方法概述 针对上述挑战,智能算法研究中心与南方医科大学附属南方医院庄宝雄教授团队合作提出了一种用于求解医学图像抠图问题的微搜索进化优化框架[1][2]。 微搜索假设被广泛应用于众多优化问题的求解中,如滤波器自动调参问题[11],双层车辆路径规划问题[10],约束优化问题[9]等。实验结果验证了微搜索假设能够帮助算法大幅度提升算法求解问题的效率。在微搜索假设中,对于任意一种算法,决策空间(决策集)中存在一个规模远小于决策空间(决策集)的子空间(子集),该子空间(子集)由算法的可行解组成,且包含了优化问题的最优解。该子空间(子集)被称为有效决策子空间(子集)。 研究团队观察到,在医学图像抠图问题中,相似的子问题(即相似的未知像素)其目标空间也具有高度的相似性(图 1),目标函数在梯度方向和数值分布上都高度一致。这意味着进化算法在优化相似子问题时,同一个解所在的局部区域为进化算法提供的启发式信息是子问题无关的。
图 1 相似子问题的目标空间等高线对比
基于这一特性,研究团队认为医学图像抠图问题的一个有效决策子集应当包含多个相似子问题的有相似局部目标空间性质的可行解。在该有效决策子集的帮助下,进化算法在优化相似子问题时,能够避免获取子问题无关的启发式信息,转而探索有价值的子问题相关的启发式信息。 微搜索进化优化框架以像素的视觉特征相似性作为子问题相似性的评估准则,将子问题进行分组。通过分析相似子问题优化过程中局部最优解的收敛性和多样性,从决策集中估计出一个微小的不违反约束条件的决策集的子集,即有效决策子集。 为了提升进化算法在大规模决策空间中的探索效率,研究团队设计了一种适应度评估动态分配策略。该策略能够引导进化算法自动在决策空间搜索和有效决策子集搜索之间进行权衡,将决策空间中子问题无关的启发式信息压缩在有效决策子集中,从而提升算法的探索效率。有效决策子集引导算法搜索的示意图如图 2所示。与传统的子问题减少方法不同,该框架并不减少子问题数量,而是通过定向搜索,即在有效决策子集的引导下搜索,降低处理大规模决策变量时的探索成本,使得进化算法在弱先验条件下也能高效运行。
图 2 微小有效决策子集引导算法搜索示意图
3. 实验结果 为了验证方法的有效性,研究团队通过将医学图像数据集与和一个自然图像数据集上进行了广泛的实验。医学图像数据集包括:Brain-growth[3], LIDC-IDRI[4], ISIC[5],自然图像数据集包括:AlphaMatting[6]
实验一分别从抠图精度和最终解的适应度值对比了引入微搜索策略前后的算法性能。表 1显示,在均方误差(MSE)、绝对误差(SAD)、连通性误差(CON)、和梯度误差(GRAD)等多项评价指标上均优于原始算法。 表 1 与无微搜索策略的多目标进化抠图算法在各项指标上的对比
实验二旨在验证所微搜索策略的有效性,即在微搜索策略的帮助下,进化算法的探索效率是否有提升。实验对比了有无微搜索策略下解的适应度评估值随适应度评估消耗的变化。实验结果如图 3所示,说明了微搜索策略能够帮助进化算法在更少的适应度评估消耗下找到与进化算法最终解质量相当的解,且微搜索策略能够帮助进化算法找到更好的最终解。微搜索策略有效地提升了进化算法的探索效率。
图 3 有无微搜索策略下解的适应度评估值随适应度评估消耗的变化对比
研究团队在实验三中构建了弱先验测试场景,将该方法与包括深度学习(DIM[7]等)在内的强先验方法以及其他弱先验方法(PDMS[8]等)进行了对比。弱先验测试场景的构建方式如下:从某个特定的医学图像数据集中随机抽取与自然图像数据集等量图像,组成一个新的测试数据集。在进行抠图遮罩预测时,仅提供三分图作为输入。
实验结果表 2表明,在仅提供Trimap的弱先验条件下,微搜索进化优化医学图像抠图算法在均方误差和梯度误差上,优于大多数对比方法。可视化结果(图 4)也显示,该方法能更准确地恢复前景与背景极其相似的模糊边缘区域。 表 2 弱先验测试场景中抠图预测指标对比
图 4 有无微搜索策略的抠图预测结果可视化对比
智能算法研究中心提出了一种基于微搜索策略的进化优化医学图像抠图方法。通过利用子问题相似性有效地压缩了搜索空间,为进化算法的搜索提供了定向搜索的指引,解决了进化算法在大规模决策集中探索成本过高的问题。实验证明,该方法不仅提升了进化算法的效率,更使其成为解决弱先验医学图像抠图强有力的工具,能够以较低的标注成本获得高质量的病灶分割结果。 参考文献 [1]Li Kang, Han Huang, Yihui Liang, Zeyang Liu, and Zhifeng Hao, Microscale-Searching Evolutionary Optimization for Image Matting, IEEE Transactions on Emerging Topics in Computational Intelligence, pp. 1–12, 2025. [2]Li Kang, Han Huang, Yihui Liang, and Baoxiong Zhuang, Weak-prior medical image matting based on microscale-searching evolutionary optimization, Swarm and Evolutionary Computation, vol. 98, pp. 102065, 2025. [3] Hongwei Bran Li, Fernando Navarro, and et al., QUBIQ: uncertainty quantification for biomedical image segmentation challenge, CoRR, 2024. [4] Samuel G. Armato, Geoffrey McLennan, and et al., The lung image database consortium (LIDC) and image database resource initiative (IDRI): a completed reference database of lung nodules on CT scans, Medical Physics, pp. 915–931, 2011. [5] Noel C.F. Codella, David A. Gutman, M. Emre Celebi, and et al., Skin lesion analysis toward melanoma detection, IEEE International Symposium on Biomedical Imaging, pp. 168–172, 2018. [6]Christoph Rhemann, Carsten Rother, Jue Wang, and et al., A perceptually motivated online benchmark for image matting, IEEE Conference on Computer Vision and Pattern Recognition, pp. 1826–1833, 2009. [7] Ning Xu, Brian L. Price, Scott Cohen, and Thomas S. Huang, Deep image matting, IEEE Conference on Computer Vision and Pattern Recognition, pp. 311–320, 2017. [8] Han Huang, Yihui Liang, Xiaowei Yang, and Zhifeng Hao, Pixel-level discrete multiobjective sampling for image matting, IEEE Transactions on Image Processing, pp. 3739–3751, 2019. [9] Han Huang, Yueting Xu, Yi Xiang, and Zhifeng Hao, Correlation-Based Dynamic Allocation Scheme of Fitness Evaluations for Constrained Evolutionary Optimization, IEEE Transactions on Evolutionary Computation, pp. 1–1, 2024. [10] Han Huang, Shuling Yang, Xueming Li, and Zhifeng Hao, An Embedded Hamiltonian Graph-Guided Heuristic Algorithm for Two-Echelon Vehicle Routing Problem, IEEE Transactions on Cybernetics, pp. 5695–5707, Jul. 2022. [11] Han Huang, Fujian Feng, Shuqiang Huang, Liang Chen, and Zhifeng Hao, Microscale Searching Algorithm for Coupling Matrix Optimization of Automated Microwave Filter Tuning, IEEE Transactions on Cybernetics, pp. 2829–2840, May 2023. 图/文:康力 |









