近日,广西民族大学韦斯纳博士(华南理工大学出站博士后,第一作者)、东南大学蒋维洲教授和华南理工大学物理与光电学院冯兆庆教授(通讯作者)利用量子分子动力学输运模型(LQMD)并采用SU(6)对称破缺方法研究了超子-核子相互作用、中子星物质中“超子之谜”问题和重离子碰撞中超子产生机制。研究发现中高能重离子碰撞产生的高横向动量超子可以提取超子-核子三体相互作用势,解决中子星物质中“超子之谜”问题。另一方面,冯兆庆教授采用非相对论方法研究了超子-核子三体相互作用和重离子碰撞超子产生集体流的影响,结果给出超子产生的直接流和椭圆流可以提取致密物质中超子和超子与核子相互作用。论文发表在物理学一流期刊Physics Letters B 853, 138658 (2024), Physics Letters B 851, 138580 (2024)。相关工作为广东惠州正在建设的国家重大科技基础设施-强流重离子加速器HIAF上开展超子物理研究提供了基础。



超子-核子光学势随重子密度变化和中子星质量-半径关系
(取自Physics Letters B 853, 138658 (2024))

重离子碰撞中不同超子-核子相互作用势下超子产生直接流和椭圆流快度分布
(取自Physics Letters B 851, 138580 (2024))
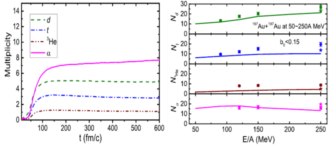
华南理工大学在站博士后程辉淦和冯兆庆教授基于量子分子动力学输运模型(LQMD),通过在核子-核子散射中引入团簇自由度的产生,成功对中能重离子碰撞中团簇形成以及更重碎片形成的物理机制作出了统一恰当的描述。相关研究这为重离子碰撞实验研究中子星表层pasta相结构提供了有效方法,同时为研究团簇可观测量作为低密或高密核物质状态方程和重离子碰撞中超核形成机制提供了基础。研究结果以Letter发表在物理学一流期刊Physical Review C 109, L021602 (2024))。


重离子碰撞中轻核产生时间演化和入射能量依赖性
(取自Physical Review C 109, L021602 (2024))
相关论文链接:
https://doi.org/10.1016/j.physletb.2024.138658
https://doi.org/10.1016/j.physletb.2024.138580
https://link.aps.org/doi/10.1103/PhysRevC.109.L021602
(图文/冯兆庆团队)
