本文介绍了一种基于去偏振动态光散射和各向异性示踪粒子的微流变技术。所构建的方法利用各向异性颗粒对散射光偏振方向的改变,借助偏振片选择性检测来自示踪粒子的散射信号,得到相应的均方角位移。同时从转动的郎之万方程出发,计算了相应的广义斯托克斯-爱因斯坦方程,进而通过均方角位移计算得到了相应的复数模量。这种微流变表征方法在一系列典型软物质体系(水凝胶,聚合物溶液,胶体颗粒悬浮液)中的良好实验结果验证了方法的可靠性,其具有表征速度快,精度高,频率范围宽等优点。该微流变表征方法在以血浆为代表的生物质表征中具有广泛的应用潜力。
微流变方法相比较机械流变,具有无扰,频率范围宽等优点,但是现有的基于散射方法的微流变技术无法完全规避基底散射信号的影响;而基于成像方法的微流变技术则因为其难以获取高频数据的缺陷和较慢的测试速度,限制了其实际应用。
基于上述背景,华南理工大学殷盼超教授课题组采用去偏振动态光散射和各向异性示踪粒子,开发了一种新型微流变技术。由于各向异性颗粒会改变散射光的偏振方向,通过在检测器前加装偏振片,可以规避基底散射信号,只检测示踪粒子的散射信号,得到均方角位移。再通过广义斯托克斯-爱因斯坦方程得到流变主曲线。(图1)。

图1 a各向同性粒子的散射示意图; b各向异性粒子的散射示意图; c微流变原理示意图。
文章基于郎之万转动方程推导计算了适用于各向异性示踪粒子转动过程的广义斯托克斯-爱因斯坦方程,进而可以通过该结果从示踪粒子的均方角位移中获取对应的基底粘弹性。文章首先在一系列典型的软物质体系如具有非遍历性的水凝胶样品,聚合物溶液和胶体颗粒悬浮液中验证了该方法的可靠性(图2,图3),测试结果完整展现了这些体系的粘弹性特征。其中对于非遍历性样品,在测试过程中需要进行非遍历性校正。

图2 a非遍历性水凝胶样品的微流变结果; b聚合物溶液的微流变结果。
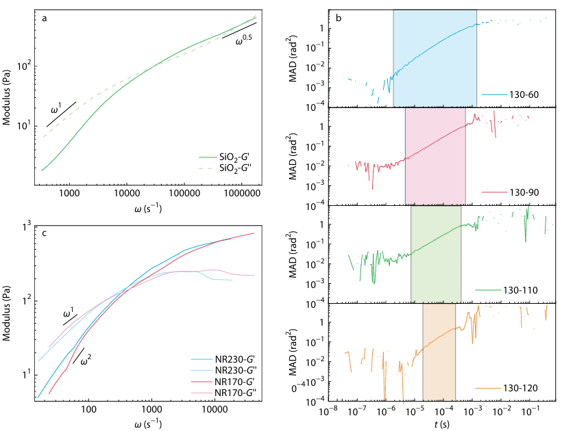
文章系统研究了实验过程中散射角度组合以及示踪粒子尺寸对微流变结果的影响,同时给出了适应于绝大多数商业化多角度动态光散射仪器的角度组合(60度与130度)。随着两个散射角度差值的减小,实验数据的有效频率区间也不断被压缩,因此实验中散射角度差值越大,频率范围越宽。针对示踪粒子尺寸,实验表明较大的示踪粒子给出的流变主曲线在低频处有更多的信息(图3);然而,实际试验中对示踪粒子尺寸的选取需要综和考虑多种影响:如示踪粒子尺寸需要大于基底的特征长度,流变实验的目标频率区间。

图3 a胶体颗粒悬浮液的微流变结果; b不同散射角度组合的结果; c使用不同尺寸示踪粒子获取的聚合物溶液的微流变结果
文章展示了该微流变方法在生物质粘弹性研究中的应用,以小鼠血浆为例,该方法给出的血浆粘弹性特征与文献报道结果一致,验证了其在生物流变学研究中的潜在应用(图4)。

图4 小鼠血浆的微流变结果
薛炳辉博士研究生是该论文的第一作者,殷盼超教授为通讯作者。该项工作得到国家自然科学基金(基金号22241501和92261117),中国散裂中子源松山湖实验室开放基金(基金号DG24313519)和TCL科技创新基金的资助。
文章信息:Xue, BH., Liu, Y. & Yin, PC. The Monitoring of Anisotropic Tracer Nanoparticles by Depolarized Dynamic Light Scattering for Micro-rheology with Improved Contrast and Accuracy. Chin J Polym Sci (2025). https://doi.org/10.1007/s10118-025-3445-0

