聚合物纳米复合材料(PNCs)中的聚合物链动力学加速现象目前鲜有报道,这主要是因为纳米粒子在聚合物基质中因排斥相互作用而导致的分散性差等问题。科学界对该现象的关注源于其在降低熔体粘度、改善加工性能等方面的潜在应用价值。通常,实现链动力学的加速需依赖纳米粒子与聚合物之间的排斥性相互作用。然而,纳米粒子在聚合物中分散困难、易于团聚的特性,不仅阻碍了对微观机制的深入探索,也引发了宏观性能不稳定及材料长期老化等问题。设计具有两亲性表面特性的纳米粒子,为解决上述难题提供了可能的路径:通过引入吸引性官能团来确保纳米粒子的均匀分散,同时借助排斥性表面促进链动力学的加速,从而实现不牺牲材料力学性能的前提下,提升材料的加工。
近期,课题组将2纳米的锆基金属有机多面体(Zr-MOP)与聚(4-乙烯基吡啶)(P4VP)的复合,作为研究PNCs中链动力学加速和减粘机制的模型体系。Zr-MOP配体上的氨基通过氢键与P4VP作用,确保了Zr-MOP的良好分散。同时,Zr-MOP表面的茂环基团会破坏P4VP中吡啶基团的紧密堆积,这种排斥作用导致玻璃化转变温度显著降低。同时测得聚合物链松弛速率加快了三个数量级,导致其弹性模量和复数粘度显著降低。该研究工作为PNCs中链动力学调节机制提供了微观理解,并为设计具有新兴功能的新型PNCs提供了途径。

图1. Zr-MOP和PNCs的制备以及结构表征
Zr-MOP溶液的小角X射线散射(SAXS)曲线与理论散射曲线良好拟合证实了其在良溶剂中的结构完整性和分子级分散。通过溶剂共混制备一系列不同Zr-MOP负载量(5wt.%、10 wt.%和15wt.%)的聚合物纳米复合材料(PNCs),其SAXS曲线中观察到Zr-MOP的形状因子,这表明Zr-MOP在聚合物基质中的分散状态与其在良溶剂中一致(图1)。

图2. PNCs的玻璃化转变温度
在DSC曲线中观察到,随着Zr-MOP加入PNCs的Tg相较于P4VP显著降低。这是因为排斥作用破坏了P4VP中吡啶基团的紧密堆积,降低了缠结密度,从而加速聚合物链的运动。负载量较高时,Zr-MOP之间的间距减小,排斥位点的暴露面积略有减少,削弱了部分排斥作用,Tg少量回升(图2)。

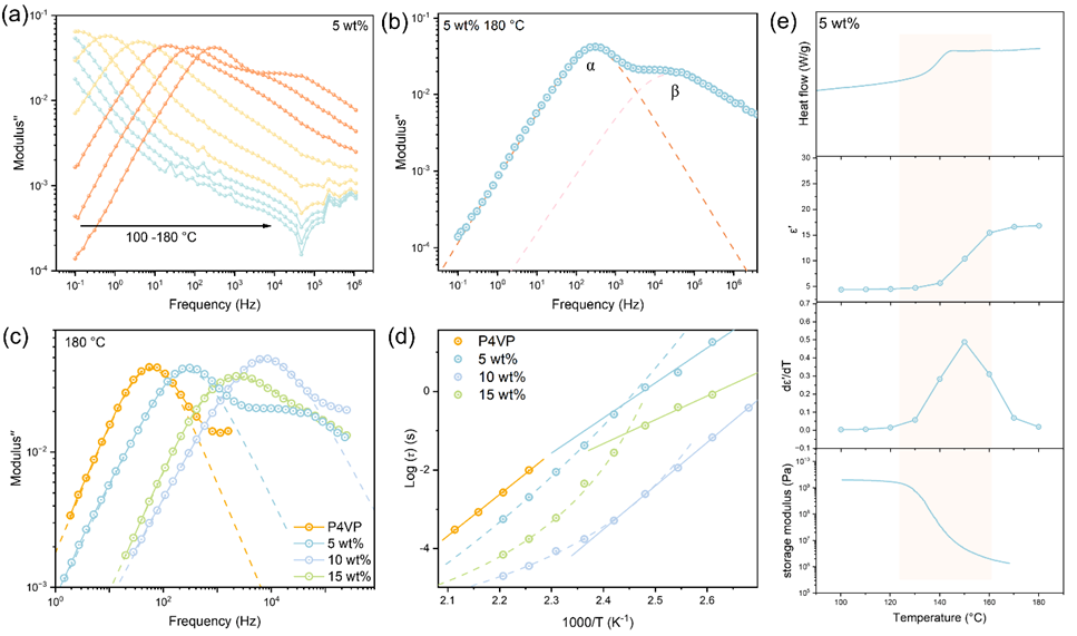
图3. PNCs聚合物链动力学
宽频介电实验提供了更为量化的聚合物链动力学信息。PNCs的α弛豫峰归属于聚合物主链的运动。在同一温度下(180 ℃),PNCs的α弛豫峰均出现在比P4VP更高的频率区域,表明聚合物链运动加快。PNCs的α弛豫时间也明显快于P4VP。α弛豫的温度依赖性从Arrhenius行为转变为VFT行为,转变温度与DSC测得的Tg值吻合。此外,DSC热流、介电常数ε′、ε′的导数(dε′/dT)以及储能模量(E′)随温度的变化在玻璃转变过程中变现出一致性(图3)。这说明P4VP和PNCs的α弛豫是玻璃转变过程的结构根源,并且与介电、热和宏观机械性能密切相关。

图4. PNCs的力学性能以及减粘现象
DMA频率扫描主曲线中,PNCs的储能模量下降发生在比P4VP更低的频率。E′和E′′的交点计算出松弛时间(τD),PNCs也明显快于P4VP。在106rad/s时,PNCs和P4VP的E′几乎相同,而101 rad/s时PNCs的E′却大幅下降。以上共同说明Zr-MOP所带来的显著加速效应。在流变测试中观察到,加热到160 ℃(高于Tg)时,PNCs的复数粘度(η*)显著降低(图4)。以上在不同温度/时间窗口下的DMA和流变学研究表明,PNCs在高温下可以以显著降低的粘度进行加工,而其在室温下的机械强度仍与P4VP相似。这证实了具有两亲性纳米粒子的聚合物纳米复合材料在不损害其机械强度的情况下,具有优化加工性能的巨大潜力。
本文以AnomalousPolymer Chain Dynamics Acceleration and Viscosity Reduction from theComplexation of Amphipathic Metal-Organic Polyhedra为题发表于“TheJournal of Physical Chemistry Letters”。本文的第一作者为华南理工大学博士生蓝林杰,通讯作者为华南理工大学殷盼超教授。
文章信息: LinjieLan, Haiyan Xiao, Wei Liu-Fu, Jiadong Chen, Jia-Fu Yin, Panchao Yin*. AnomalousPolymer Chain Dynamics Acceleration and Viscosity Reduction from theComplexation of Amphipathic Metal-Organic Polyhedra. J. Phys. Chem. Lett.2025, 16, 11970-11976.
文章链接: https://pubs.acs.org/doi/10.1021/acs.jpclett.5c02736

