混合基质膜(MMMs)是将微孔填料加入到聚合物基底里形成的复合材料。理想情况下,填料提供了主要的气体传输途径和气体对的选择性区分,以此来提高气体的透过选择性;然而,填料和聚合物基体之间复杂的相互作用使其偏离了理想性能。界面相容性差可能会导致界面非选择性孔隙的形成和填料的聚集,这些缺陷可能会导致气绕过填料的微孔进行传输。另一方面,填料与聚合物之间的强相互作用会使得聚合物硬化和富集,从而导致气体扩散缓慢和孔隙堵塞。即使填料没有相互连通,提高MMMs中填料微孔对气体的利用率或许可以提供普遍和友好的解决方法。通过构建聚合物网络的外部孔隙来保持填料的内部微孔,为充分利用填料的微孔提供了方案。
近日,华南理工大学殷盼超教授课题组以2 nm的铑基纳米笼为填料,降冰片烯为主链末端是吡啶的聚合物为基底构筑了基于超分子相互作用(配位和氢键)的聚合物纳米复合有机凝胶(图1)。由于刚性的聚合物主链以及两组分之间比较强的超分子相互作用,使得在溶剂去除后凝胶网络仍能保持其微孔特征。此外,强的超分子相互作用使得刚性聚合物在纳米笼表面受挫堆积,聚合物网络的外部孔隙和纳米笼内部空腔的互连为气体传输提供了快速的通道。MMMs对H2和CO2的透过系数分别是纯聚合物的869倍和1099倍。纳米笼中开放的金属位点也有助于气体选择性的提高,双重孔隙和开放金属位点使得MMMs总体性能超过2008 H2/CO2 Robeson上限。超分子复合增强聚合物受挫堆积策略为提高MMMs中气体透过选择性提供了简单实用的解决方案。

图1. 纳米笼和bottle brush-pyridine复合的MMMs的设计策略
采用小角和广角X射线散射(SAXS和WAXS)对溶剂去除后的MMMs进行表征,来研究不同含量的纳米笼在聚合物基底里的形态和分散情况。在所有的聚合物纳米复合有机凝胶和MMMs材料中都可以观察到纳米笼的形状因子,且没有任何结晶峰,表明纳米笼结构完整且均匀分散在聚合物基底里。与凝胶状态对比,溶剂去除后MMMs整体的结构并没有改变只是纳米笼与纳米笼之间的距离有所减小。SAXS数据在低q区(0.16 - 0.36 Å-1)的宽峰可以归因于纳米笼的结构因子,用来表征纳米笼之间的相互作用。采用squarewell结构因子和球形的形状因子模型可以很好地拟合宽峰,说明纳米笼周围存在网络结构,计算得到的网络尺寸约为3.6 nm。然而对于纯聚合物,在SAXS曲线中没有观察到有关凝胶网络结构的特征,并且在溶剂去除后属于聚合物凝胶的结构消失,这都表明在没有纳米笼的情况下,溶剂去除后聚合物网络崩塌。随着纳米笼含量的增加,squarewell结构因子和球形的形状因子模型已经不能很好地拟合数据。采用硬球结构因子和球形的形状因子能很好地拟合数据,说明此时网络结构不是很明显。

图2. 纳米笼和bottle brush-pyridine复合的MMMs的结构和热力学性质
与大尺寸的胶体颗粒相比,在聚合物网络中加入超小尺寸的纳米笼会对聚合物的松弛动力学产生显著地影响。玻璃化转变温度(Tg)与热力学性质息息相关,可以用来表征聚合物链段动力学。观察到纯的聚合物有一个玻璃化转变过程,Tg = 409.7 K,表明纯聚合物具有刚性结构和慢的链段动力学。有趣的是,在300至453 K的测试温度范围内,随着纳米笼含量的增加,MMMs观察不到明显的玻璃化转变,说明它们具有比较高的Tg和刚性框架结构的存在(图2b)。
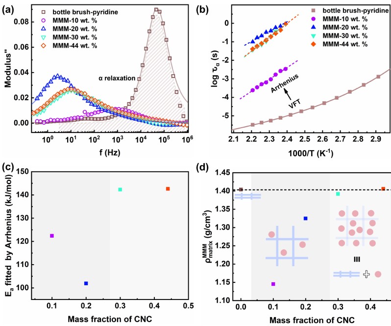
宽频介电谱(BDS)通过测量去极化偶极矩的定向重排提供了微观松弛动力学的量化信息。在纯聚合物和MMMs的介电模量谱中都观察到一个松弛过程。在相同温度下将纯聚合物和MMMs的介电模量谱进行比较可以发现峰值位置向低频方向移动,同时振幅也有所减小(图3a)。为了得到松弛时间(τα),介电模量谱采用单个Havriliak−Negami (HN)方程进行拟合。MMMs中链段动力学的特征松弛时间比纯聚合物慢。然而,与MMM-10 wt. %相比,MMM-30 wt. %和44 wt. %的链段动力学更快(图3b)。分析拟合得到的松弛时间的温度依赖性可以发现纯的聚合物符合VFT方程,而MMMs符合Arrhenius方程。纳米笼和聚合物之间强的超分子相互作用使得在所测温度范围内MMMs中聚合物链段运动需要跨越能垒。MMMs的Arrhenius温度依赖性说明纳米笼对于聚合物的链段运动施加了强的纳米受限效应,使得此时聚合物的链段运动类似于在Tg以下的运动。由Arrhenius方程拟合得到的活化能(Ea)呈现先减小后增加的趋势(图3c)。Ea的下降可能与聚合物的受挫堆积有关。为了进一步证明这一猜想,进行了密度的测量(图3d)。在MMM-10 wt. %和20 wt. %中,基体的平均质量密度明显低于纯聚合物的密度,结合活化能和介电峰值振幅的降低,进一步证实了聚合物的堆积受挫。虽然在MMM-30 wt. %和44 wt. %中基底的平均质量密度与纯的聚合物类似,但在BDS中观察到加速的链段动力学也可以归因于聚合物的受挫堆积,纳米笼周围聚合物的受挫堆积为外部气体分子进入纳米笼微孔提供了机会。

图3. MMMs聚合物链段动力学
通过对不同纳米笼含量的MMMs进行气体吸附测试,证实了MMMs的双重孔隙的存在并进一步研究了纳米笼含量对聚合物网络外部孔隙的影响。为了合理地比较,吸附等温线根据纳米笼的质量进行归一化处理。如图4a所示,对于MMM-30 wt. %和44 wt. %,可以观察到N2在低压区明显的吸附,对应于微孔的特征;同时还可以观察到N2在高压区明显的吸附,对应于氮气在介孔和大孔的毛细凝聚。这一现象说明了MMMs的多级孔结构:约0.8 nm的尺寸归因于纳米笼的内部空腔,而3.5 nm的大孔隙归因于交联聚合物网络的外部孔隙(图4b)。外部网络尺寸为3.5 nm,与上述SAXS拟合尺寸一致。与此同时,3.5 nm的归一化孔体积随着纳米笼的含量的增加而减小,说明了交联聚合物网络的外部孔隙逐渐被纳米笼填满(图4e)。MMM-30 wt. %和44 wt. %的孔径分布展现出了纳米笼的微孔特征以及可忽略不计的交联聚合物网络的外部孔体积,说明在这个比例下交联聚合物网络的外部孔隙已经被纳米笼完全填满。在MMM-30 wt. %和44 wt. %中基底密度接近于纯的聚合物和可忽略不计的交联聚合物网络的外部孔隙共同证实了纳米笼和聚合物的作用方式类似于直接物理共混。与之相反的是,在MMM-10 wt. %和20 wt. %体系中还存在交联聚合物网络的外部孔隙。当纳米笼含量比较低的时候,交联聚合物网络的外部孔隙主要贡献于气体吸附过程。由于外部孔隙被纳米笼占满和与高含量纳米笼样品相比比较低的微孔纳米笼的贡献,使得MMM-20 wt. %的气体吸附能力最低。当纳米笼含量增加,由于纳米笼的微孔空腔相互连接,纳米笼的固有微孔逐渐贡献于气体吸附过程。因此,双重孔隙使得MMMs整体气体吸附性能的提高——与低相对压力下的纳米笼气体吸附相当,而高相对压力下的吸附能力更高(图4c和d)。

图4. MMMs气体吸附和孔径分布
纳米笼的微孔和交联聚合物网络的外部孔可以为气体传输提供通道,并通过孔填充来提高气体溶解度,以此来实现高的气体透过系数。为了研究孔对气体传输的影响,在常温下进行了纯的聚合物和MMMs的H2和CO2的气体透过实验。如图5a所示,与纯的聚合物相比,所有的MMMs都实现了更高的气体透过系数和有所提高的选择性,除了44 wt. %其他比例都超过了H2和CO2的2008 Robeson上限。纳米笼的含量对MMMs的气体透过选择性有着非单调的影响。由于双重孔隙的存在可以观察到H2透过系数的显著增加,从11.1(纯的聚合物)到6850.2(10 wt. %)和9650.4 Barrer(20 wt. %)。对于30 wt. %和44 wt. %,由于链段运动所需要的高的活化能,H2透过系数从9621.5降低到1621.7 Barrer。当纳米笼添加量为10 wt. %时,H2/CO2选择性从1.3增加到3.4,当添加量为20 wt. %、30 wt. %和44 wt. %时,由于无筛分功能的双重孔隙的存在,H2/CO2选择性降至1.2。
为了深入了解分离机理,将聚合物链段动力学、气体吸附和气体传输联系在一起进行分析。将纳米笼加入到聚合物网络中,与纯聚合物相比,H2和CO2的气体扩散系数大幅度提高了两到三个数量级。气体扩散系数的提高归因于自由体积的增加促进了气体分子的扩散(图5c)。气体扩散系数的变化趋势与上述结构松弛动力学的研究结果相吻合。另一方面,添加少量纳米笼(10 wt. %)可以显著提高H2和CO2的溶解度,然后添加更多纳米笼会降低H2和CO2的溶解度(图5d)。溶解度的变化趋势与上述气体吸附研究一致。总的来说,H2/CO2选择性的增强可归因于来自于聚合物的扩散选择性和Rh-Rh桨轮开放金属位与氢气之间的吸附增强(图5b)。虽然与纯聚合物相比,构建基于纳米笼的聚合物纳米复合有机凝胶可以增加自由体积,为气体扩散提供快速通道,但未来还需要努力减小交联聚合物网络的外部孔尺寸,以实现高气体选择性。

图5.MMMs的气体分离性能
综上所述,本文提出了一种通过构建聚合物网络外部孔隙来保留纳米笼内部空腔的策略。聚合物的刚性主链以及纳米笼与聚合物之间强的超分子相互作用受挫了聚合物链的堆积,这使得外部气体分子可以进入双重孔隙。可利用的双重孔隙为实现高的气体透过系数提供了快速的传输通道。高的气体透过系数和提高的气体选择性进一步使得H2/CO2超越2008 Robeson上限。该策略为充分利用填料的微孔进行气体分离开辟了一条新的设计途径。
这一成果近期发表在small上,本文的第一作者为华南理工大学博士生刘媛,华南理工大学薛炳辉博士生、陈家董博士生、赖钰妍博士生、蔡林坤博士生为该体系全面的结构表征、动力学研究、气体吸附测试和分离性能测试,以及建立相应的构效关系提供了大量帮助。本文的通讯作者为华南理工大学殷盼超教授
Supramolecular Complexation Reinforced Polymer Frustrated Packing: Controllable Dual Porosity for Improved Permselectivity of Coordination Nanocage Mixed Matrix Membranes
Yuan Liu, Binghui Xue, Jiadong Chen, Yuyan Lai, Linkun Cai, Panchao Yin*
Small 2024, 2400605 DOI: 10.1002/smll.202400605

