具有super-chaotropic 效应的纳米离子(金属氧簇)可以与中性聚合物复合,组装成具有多级结构的纳米复合材料,并应用在诸如离子导体,粘接,抗菌等领域。纳米离子还可以与聚电解质复合,形成具有多级结构的功能化凝聚相。然而,由于super-chaotropic 效应的复杂性,人们对纳米离子与聚合物作用的机理理解不足,尤其是对纳米离子的反离子在这一效应中的具体作用不甚了了。此前,一些研究者针对纳米离子的super-chaotropic 效应进行了一系列研究,包括其与聚合物的作用强度,电荷数的影响等,但是对于反离子的作用却得到了相互矛盾的结论。
纳米离子与聚电解质复合形成的凝聚相是一种液液相分离,其中凝聚相具有多级结构以及广泛的应用,但是由于对其“结构-性质”关系以及纳米离子super-chaotropic 性质的理解不足,对功能化凝聚相多级结构的合理设计与调控仍然很少。同时,由于多级结构与多组分的存在,对凝聚相多级结构的探测以及机理分析仍然是一项艰难的挑战。
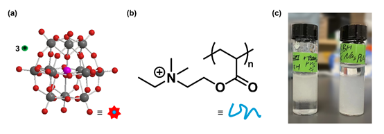
最近,针对以上问题,华南理工大学殷盼超课题组报道了一种新的凝聚相微观结构调控机制:使用季铵化的聚(丙烯酸-2-(二甲氨基)乙酯)(PEY)(图1b)作为阳离子型聚电解质,与带有不同反离子(H+, Na+)的纳米离子(PW12O403-, PW)(图1a)复合形成氢离子凝聚相(PEY-HPW)与钠离子凝聚相(PEY-NaPW);作者发现仅需改变纳米离子的反离子,凝聚相便可以展现出完全不同的宏观特征,PEY-HPW相悬浮在上层,而PEY-NaPW沉积在下层(图1c),这对应着不同的微观结构。

图1,(a)PW纳米离子的结构示意图(红色为氧原子,灰色为钨原子,粉色为磷原子,绿色为反离子),(b)聚电解质的结构式,(c)两种凝聚相的宏观状态,(左图为PEY-HPW凝聚相,右图为PEY-NaPW凝聚相)。
进一步的,作者利用小角X光散射(SAXS)和小角中子散射(SANS)各自对于重元素以及氢元素的敏感性,研究了凝聚相中的纳米离子分布情况以及聚电解质的构象特征,完整的解析了两种凝聚相的不同结构(图2ab)。结合对SANS数据的Kratky plot分析(图2c)以及数据拟合,得到了两种凝聚相的结构模型:PEY-HPW凝聚相具有疏松的网络结构,其中单个纳米离子作为交联点存在,同时附着纳米离子晶体,网络的网格尺寸约为5.97 nm;PEY-NaPW凝聚相的结构则更加致密,PEY链被纳米离子的聚集体挤压,并相互包裹,特征相关长度为3 nm,这对应着无扰的PEY链(图2fg);且这两种不同的结构与透射电镜(TEM)得到的结果是一致的(图2de),因而证明了可以通过调节纳米离子的反离子来调控凝聚相的微观结构。

图2,(a)凝聚相的SAXS谱图,(b)凝聚相的SANS谱图及拟合曲线,(c)凝聚相的Kratky plot分析以及其对应的聚电解质构象示意图,(d)PEY-HPW的电镜照片,(e)PEY-NaPW的电镜照片,(f)PEY-HPW微观结构示意图,(g)PEY-NaPW微观结构示意图。
随后,作者通过傅里叶变换红外光谱(FT-IR)以及等温滴定量热(ITC)实验研究了纳米离子反离子调控凝聚相微观结构的机理。通过对红外谱图中羰基特征峰的高斯拟合,发现处在两种不同化学环境中的羰基,证明了反离子通过与PEY中的羰基发生氢键相互作用或偶极相互作用对纳米离子与PEY的复合产生影响,并且通过峰面积积分获得了与反离子作用的羰基占比(图3)。而ITC实验则表征了反离子与PEY作用过程的热力学参数,其相互作用过程是熵驱动的,而熵的来源则是溶剂化层的破坏,这一点也在氢锂钠三种离子的水合焓,以及ITC测得的焓变中体现出来:氢离子与PEY作用所带来的焓增几乎百倍与钠离子与锂离子的(图4),同时氢离子对应的吉布斯自由能的变化也大于钠离子,锂离子的。这与FT-IR得到的结果是一致的。

图3,加入反离子的聚电解质溶液红外谱图及其高斯峰拟合,(a)纯PEY溶液,(b)加入钠离子的PEY溶液,(c)加入锂离子的PEY溶液,(d)加入氢离子的PEY溶液。
通过研究反离子与PEY的相互作用,作者认为反离子在PEY-PW体系中,通过与羰基发生氢键或偶极相互作用,实质上提高了PEY主链的正电性,进而吸附更多的纳米离子,此时反离子起到了桥接(bridging effect)的作用,氢离子凭借其与PEY的强作用且可以诱导纳米离子结晶的特性,使得纳米离子大量吸附并最终结晶,留下疏松的网络结构;而钠离子与PEY的作用则比较弱,因而纳米离子在凝聚过程中聚集,填充,最后形成致密的堆积结构。这种反离子传导的PW-PEY相互作用也可以用来解释纳米离子的super-chaotropic效应:即反离子通过与聚合物的含氧基团发生作用,进而吸附纳米离子,使其与聚合物具有良好的相容性。

图4,(a)不同反离子滴定PEY溶液的ITC数据及拟合曲线,(b)放大后的(a)灰色区域,(c)拟合获得的热力学参数,其中插图为氢离子,锂离子,钠离子各自的水合焓。
总而言之,该团队通过研究纳米离子与聚电解质凝聚相的多级结构,以及反离子与PEY的相互作用,得到了反离子调控凝聚相多级结构的机理,并且该机理适用于纳米离子的super-chaotropic效应。该工作得到的结论不仅挖掘了对凝聚相微观结构的简单调控方法,同时展现了反离子在纳米离子super-chaotropic效应中的重要意义,为进一步理解纳米离子super-chaotropic效应,以及合理设计功能化凝聚相提供了指导思想。
这一成果近期发表在Journal of Colloid and Interface Science上,第一作者为博士生薛炳辉,通讯作者为殷盼超教授。
文章链接:https://www.sciencedirect.com/science/article/pii/S0021979723004708

