受材料单体结构临界尺寸效应(5-7nm)的影响,尺寸小于5nm的颗粒单体往往由于快速的松弛动力学表现为高流动性的液体,而引入超分子相互作用后,颗粒单体间强的相互作用会导致材料脆性。因此,基于小尺寸且无超分子相互作用的颗粒单体来构建粘弹性材料是一个非常具有挑战性的科学难题。基于该课题组近期对亚纳米分子簇基杂化材料的系列实验和理论模拟研究(Angew. Chem. Int. Ed.2021, 60, 22212-22218;Angew. Chem. Int. Ed.2021, 60, 4894-4900)发现,通过精准合成多层级动力学拓扑分子簇结构的策略不仅可以有效打破传统材料单体结构的临界尺寸效应(5-7nm)的影响,实现这些颗粒材料粘弹性能的有效调控,而且精准的多层级结构单元也可以帮助我们认识外力作用下材料的多级结构动力学和力学性能的关系。
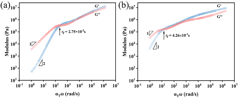
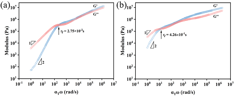
在进一步的定量微观机制研究中,殷盼超教授团队最近的研究揭示了拓扑分子簇间的相互作用可以赋予材料独特的粘弹性(J. Phys. Chem. Lett. 2022, 13, 7009−7015)。通过引入结构明确的亚纳米颗粒,异辛基型笼形聚倍半硅氧烷(OPOSS),精准构建了具有不同拓扑结构的“分子簇基寡聚体”(二聚体,三聚体和四聚体)。与纯OPOSS的粘流态不同,分子簇基寡聚体的粘弹性可以通过拓扑相互作用进行调控。小角X射线散射(SAXS)被用于表征分子簇寡聚体的微观堆积结构,结果显示该材料体系中没有长程有序和超分子组装结构,但是观察到了分子簇间的紧密堆积(q*)结构,分子簇间的拓扑相互作用来源于这些密堆积的结构(图1)。
小幅震荡剪切流变测试和分子动力学模拟结果证实分子簇间的密堆积满足的是一个caging动力学的过程,促进了物理交联网络的形成,这也是引起材料特殊弹性的主要来源(图2)。
图2. 亚纳米分子簇基弹性体的高弹性和caging动力学对该材料样品进一步的拉伸测试,结果显示该材料体系兼具一定的刚性和韧性,同时具有良好的恢复性和快速可再加工性。分子动力学模拟也印证了以上结果。此外,宽频介电测试显示以上拓扑分子簇结构赋予了材料明显的多层级结构动力学,表明该材料具有一定的能量耗散能力(图3)。
进一步通过霍普金森杆和空气炮实验,显示该材料可以承受1700 s-1的冲击和阻挡21 m/s的子弹冲击,并且展现出快速的可再加工性,恢复性和可回收性。分子动力学模拟给出了能量耗散的微观机制:分子簇快速松弛,相互碰撞实现能量传递;同时分子链的协同运动使能量分散,避免了局部的能量集中;进一步地,OPOSSs之间互相摩擦,从而有效耗散能量(图4)。
图4. 亚纳米分子簇基弹性体的抗冲击性能和能量耗散机制在此基础上,该团队还发现亚纳米颗粒间连接子的刚性和转动特性对粘弹性调控具有非常重要的作用(Chem. Sci. 2022, ASAP, DOI: 10.1039/D2SC03651G)。研究表明,通过简单地改变二聚体连接子的刚度可以实现其分子簇单体间相关动力学的调控,进而可以实现材料粘弹性的广泛调控。小角X射线散射(SAXS)排除了体系的长程有序和超分子组装结构,同时表明了分子簇间的拓扑相互作用。连接子刚度从柔性,半刚性到刚性的变化,对应的二聚体呈现出从粘液到粘弹态再到高弹态的转变(图5)。
流变测试表明柔性二聚体和纯OPOSS类似,均表现为粘液,具有快速的松弛动力学,而刚性二聚体比半刚性二聚体具有更慢的松弛动力学,与材料的宏观性能相符(图6)。
材料可调节的粘弹性源于二聚体的多级松弛动力学。宽频介电测试表明随着连接子刚度的增加,γ松弛(OPOSS表面烷基链运动)和α松弛(相邻OPOSS的协同运动)的温度依赖性逐渐增强,表明二聚体分子间的相关性增强。连接子连接的两个OPOSS的相关动力学可以通过连接子刚性来增强,并且促进相邻二聚体分子间的caging动力学,提高了材料的弹性(图7)。
通过分子层面的结构演化和动力学相关函数,进一步揭示了连接子刚度,结构动力学和材料粘弹性的关系。结果表明,纯OPOSS和柔性二聚体几乎处于自由扩散,表现为粘液态,而刚性二聚体的OPOSS受到相邻二聚体分子的空间限制,表现为典型的caging动力学,随着连接子刚度增加,从粘弹态转变为高弹态(图8)。
连接子刚性的微小变化便会导致材料机械性能的明显改变。通过分子动力学模拟和机器学习证明了亚纳米尺度的分子簇间的相关动力学主要受连接子的转动刚度调控,受分子簇尺寸影响很小。以上研究工作将实验和模拟有效结合,提高了对拓扑相互作用和微观结构调控粘弹性的理解,并为亚纳米尺寸下开发新型弹性体材料开辟了新途径。以上工作近期以“Topological Interaction among Molecular Cluster Assemblies Affords Tunable Viscoelasticity”和“Dimerization of Sub-Nanoscale Molecular Clusters Affords Broadly Tuneable Viscoelasticity above Glass Transition Temperature”为题分别发表在《The Journal of Physical Chemistry Letters》(J. Phys. Chem. Lett. 2022, 13, 7009−7015)和《Chemical Science》(Chem. Sci. 2022, ASAP, DOI: 10.1039/D2SC03651G)上。华南理工大学硕士研究生周鑫为论文第一作者,华南理工大学孙桃林教授,尹家福博士,刘付卫,杨杰,蔡林坤,刘媛,李牧和黄佳艺等同学为材料的合成,测试及数据解析提供了大量帮助和支持。通讯作者为华南理工大学杨俊升博士和殷盼超教授。
论文链接:
https://pubs.acs.org/doi/10.1021/acs.jpclett.2c01817
https://doi.org/10.1039/D2SC03651G