小角散射(small angle scattering,SAS)是一种结构表征方法,可以用来表征包括固体液体在内的多种体系。其中,对粒子溶液体系中粒子形状进行表征是SAS最常用的应用场景之一。通常情况下,我们会使用几何模型拟合的方法从SAS数据中获得粒子形状相关的信息。具体过程是:对于某种几何形状,使用若干参数对该形状进行数学描述,然后据此推导该形状的散射方程,从而可以生成相应的散射曲线用于实验数据的拟合,通过拟合结果就可以获得相关的形状参数。目前,已有许多几何模型被成功建立,并在一些小角散射拟合软件中可直接使用,如SasView(www.sasview.org)。
随着纳米科学的发展,目前已有许多具有复杂形状结构的纳米粒子被合成出来。在一些情况下,基于原本的设计或已有的信息,我们通常能够对溶液中粒子的形状进行猜测。然而,部分复杂形状的粒子尚无可用的散射模型,而针对这些形状开发新的散射模型并推导散射方程十分困难。如果能够依据猜测的模型生成小角散射曲线,将对这些体系的溶液散射数据分析具有极大的帮助。因此,针对这一需求,我们开发了任意三维形状的小角散射理论曲线计算软件Model2SAS。
Model2SAS软件的基本功能是对任意三维形状的小角散射理论曲线进行计算。其中,任意三维形状概念通过两种途径来实现:1. 使用三维建模软件建立三维模型;2. 使用数学语言对三维形状的座标进行描述。对于三维建模软件建立的三维模型,通过广泛使用的STL文件作为模型的载体作为Model2SAS的输入;对于数学语言描述的三维模型,则通过Python语言进行描述。并且,Model2SAS还支持使用多个模型作为输入并组合成单个复杂模型,且模型的平移、旋转等操作也可在软件中实现,这使得复杂模型的构建可以通过多个简单模型的组合实现,降低了使用难度。Model2SAS使用点阵模型作为中介模型,使用Möller-Trumbore算法生成点阵模型,然后使用球谐函数展开的方法计算该模型的理论散射曲线。

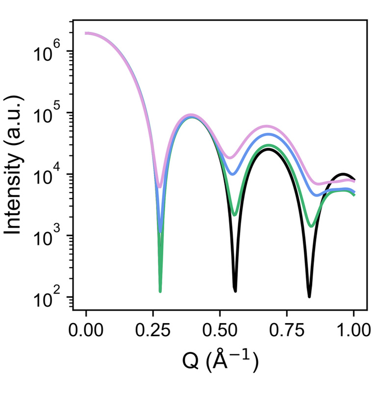
作为一个实例,我们对多孔球壳形状的SAS曲线进行了分析研究。多孔球壳目前尚无散射模型可用,我们使用建模软件建立了如图所示的不同孔径的多孔球壳并使用Model2SAS生成了相应的散射曲线。结果显示,球壳上的开孔对Guinier区与一级振荡峰并无明显影响,而第二个振荡峰的强度随着孔径增加而显著增加。这是首次对多孔球壳的散射数据进行分析。

为了使用的方便,Model2SAS还提供了图形化用户界面(GUI),可以非常方便的进行模型导入、组合与散射曲线计算功能。过程中生成的数据与图像均可导出或保存,最大程度上方便用户使用。

Model2SAS遵循 GPL v3 开源协议,项目完全开源且可免费下载使用,项目地址为https://github.com/molybd/Model2SAS 。该链接下有详细的使用说明,请仔细阅读 README.md 文件。为了方便无 Python 运行环境的用户,也提供了打包好的Windows系统安装包可供下载(https://github.com/molybd/Model2SAS/releases)。
如果对此项目感兴趣,请持续关注项目地址以获得后续更新的信息。如果对此本软件有任何疑问、建议或反馈,欢迎给本项目提出issue!(https://github.com/molybd/Model2SAS/issues)
Model2SAS软件的论文目前已被 Journal of Applied Crystallography 期刊接收,但尚未见刊,论文标题为 Model2SAS: a software for small-angle scattering data calculation from custom shapes 。
如果未来在科研中使用了Model2SAS,请引用此论文,论文相关信息如DOI等同步更新于项目主页,欢迎关注!

