聚乙二醇-多酸质子导体材料研究取得新进展
质子导电材料是燃料电池的重要组成部分,而如何提高其导电性和稳定性是一个非常关键的问题。理想的质子导体材料应该有一定的力学强度,且可在中高温和低湿度环境中发挥作用。而目前,由聚乙二醇(PEG)和多酸(POM)杂化得到的质子导体材料在导电性和力学性能上还远远不能满足商业应用的要求。
为提高PEG-POM杂化材料的质子导电性,力学性能和稳定性,实现对其结构的合理设计和优化,我们课题组与清华大学、日本东京大学、美国橡树岭国家实验室合作,对POM-PEG杂化材料的几何和动力学性质进行了综合性的研究,并从分子水平研究了杂化材料的质子传导机理。
图1 PEG-POM杂化材料的结构及其质子传导机理。
研究人员分析认为PEG以单链的形式嵌入到POM的框架中,此外,利用非弹性中子散射技术(INS)对限制在POM框架中PEG的构象进行了研究。结果表明,由于空间约束效应和PEG与POM之间的相互作用,受限PEG链为由反式-反式-反式(ttt)几何结构构成的扭曲螺旋构象。

![]()
图2 受限PEG(实线)与纯PEG(虚线)的INS谱。
图3 POM框架内受限PEG的构象。
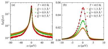
在此基础上,利用准弹性中子散射(QENS),对受限PEG运动的时空特征及其与质子传导过程的联系进行了研究。通过将QENS结果与PEG局部运动的先验公式拟合,发现:(1)C/O原子在一个长(L)13 Å,半径(R)约为0.3 Å的圆柱空间内纵向运动;(2)H原子相对于临近C原子运动的特征时间(τR)约为几皮秒。
图4 T=413K时,POM-PEG杂化材料的QENS谱图,实线为拟合曲线。
图5 拟合参数含义说明图。
通过Arrhenius定律以及AC阻抗法,发现C原子运动所需的活化能(
)与质子传导过程所需的活化能(
)大致相等,这也意味着PEG的局部运动在质子传导中起到非常关键的作用。具体来说,POM间的质子传导依赖于质子在POM间的移动,而在PEG-POM杂化材料中,PEG链正好充当了质子传递的桥梁,质子可与PEG链的O原子结合,随着聚合物链纵向移动,提高了POM间的质子传导率。
图6 质子传导率(蓝色)和自扩散系数(红色)与1000/T的关系图。符号代表实验数据,实线为用Arrhenius定律拟合的结果。
根据以上结论可知,我们可以通过优化杂化材料结构,降低质子传导过程所需的活化能,或者通过削弱杂化材料间的相互作用,降低PEG链移动的能垒来优化PEG-POM杂化材料,这对如何设计高效的质子导体有非常大的启发。
该工作近期已发表在《The Journal of Physical Chemistry Letters》上,吴华瑞博士为文章第一作者,我们课题组殷盼超教授、清华大学的王哲教授为共同通讯作者。
J. Phys. Chem. Lett., 2018, 9 (19), pp 5772–5777
DOI: 10.1021/acs.jpclett.8b02113
Publication Date (Web): August 14, 2018
Copyright © 2018 American Chemical Society
研究论文链接:https://pubs.acs.org/doi/10.1021/acs.jpclett.8b02113

