Recently, Pro. Wu Hongbin’s group (in State Key Laboratory of Luminescent Materials and Devices, South China University of Technology) and Pro. Zou Yingping’s team (in College of Chemistry and Chemical Engineering, Central South University) has jointly published a research article in Nature Photonics, with the title of ‘High-efficiency Organic Solar Cells with Low Nonradiative Recombination Loss and Low Energetic Disorder’.

Organic solar cells is a new type of solar cells with organic conjugated polymer or small molecule semiconductor material as the core composition. 
Due to its advantages such as abundant raw materials, low preparation cost, great development potential, translucency and large area preparation by printing, organic solar cells has become the focus of research at home and abroad. As a potential low-cost renewable energy technology, organic solar cells can have broad application prospects in photovoltaic power generation, portable chargers in the field, solar electric vehicles, and power generation building exterior walls. Obtaining high energy conversion efficiency is the primary goal of the current basic research stage, and it is also one of the keys to its industrialization.
Energy loss within organic solar cells (OSCs) is undesirable as it reduces cell efficiency.Despite years of development, the photon energy loss of common organic solar cells is still as high as 0.6-1.1 eV, which is one of the major research challenges that restrict the development of this field.In particular, non-radiative recombination loss and energetic disorder, which are closely related to the tail states below the band edge and the over-all photon energy loss, need to be minimized to improve cell performance.
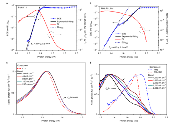
We report single-junction OSCs with a low photon energy loss and high efficiency, which are based on a small-molecule electron acceptor with a torsion-free molecular conformation. Molecular structures and ultraviolet–visible–near-infrared (UV–vis–NIR) absorption spectra of the Y11 ,which was designed and synthesized by the Pro. Zou Yingping’s group are shown in Fig.1. The analysis via detailed balance theory shows that the non-radiative recombination in this system is strongly suppressed. Remarkably, the optical absorption edge of the photoactive layer is sharp, with an Urbach energy of 25−27 meV . Furthermore, the devices exhibit a high external radiative efficiency of 0.14%, which corresponds to a low non-radiative recombination loss of 0.17 eV . Combining these reduced losses, the overall photon energy loss is found to be 0.43−0.51 eV , compared to the record value of 0.38 eV for crystalline silicon cells. A high power conversion efficiency was obtained of up to 16.54% (certified as 16.11% by the National Institute of Metrology and 15.89% by the National Renewable Energy Laboratory), in Fig.2. We also explored the relationship among with energetic disorder, band-tail state and non-radiative recombination (Fig. 3), and reveals the generation mechanism of photogenerated carriers by means of ultrafast spectroscopy. The intermolecular orientation tendency of the PM6:Y11 blend films was studied using two-dimensional (2D) grazing-incidence wide-angle X-ray diffraction (GIW AXS). The results showed that there was a directional stacking orientation in the films,which creates a beneficial environment for charge transport.

Fig. 1 | Chemical structure of the polymer donor and small-molecular acceptor used in this study and optical properties of the absorbers. a, Molecular structures of the Y11 acceptor and conjugated polymer PM6 donor. b, UV–vis–NIR absorbance spectra of PM6 film, Y11 film and the PM6:Y11 blend film

Fig. 2 | Photovoltaic characterization. a, Current density–voltage (J–V) characteristics of the best performing OSCs fabricated under different onditions, obtained under AM 1.5G illumination at 1 sun (1,000 W m−2). TA, thermally annealed. b, EQE spectra of the best devices fabricated under different conditions.

 
Fig. 3 | Sensitive EQE measurements, analysis of energetic disorder and dependence of EL spectra on injection current densities. a and b, The measured EL spectrum (red solid line), and the experimental EQE spectrum (blue dots) used to determine  for the as-cast PM6: Y11 (a) and PM6: PC71BM device (b). The dashed blue line represents the deduced EQE spectrum determined from the EL spectrum via
for the as-cast PM6: Y11 (a) and PM6: PC71BM device (b). The dashed blue line represents the deduced EQE spectrum determined from the EL spectrum via  , where
, where  is the EL photon flux. The black solid line represents the best exponential fit to the Urbach rule. c and d, The EL spectra of device upon variation of injection current densities for the as-cast PM6: Y11 (c) and the PM6: PC71BM device (d). For comparison, the EL spectra of device based on donor/acceptor neat film are included.
 is the EL photon flux. The black solid line represents the best exponential fit to the Urbach rule. c and d, The EL spectra of device upon variation of injection current densities for the as-cast PM6: Y11 (c) and the PM6: PC71BM device (d). For comparison, the EL spectra of device based on donor/acceptor neat film are included.
The scientific significance of this work is that the guiding principles for the design of organic photovoltaic systems with both low energetic disorder and low energy loss were proposed, and the microscopic material property parameter of energetic disorder was linked to the macroscopic device parameter of open-circuit voltage. It lays an important molecular structure foundation and material physics foundation for the further development of organic photovoltaic material systems with better performance.
This paper was highly appraised by reviewers, who believed that it achieved three breakthroughs: firstly, it created a new record for the efficiency of organic solar cells; secondly, the photon energy loss in organic solar cells is minimized; thirdly, it was proved that the energy loss is related to band-tail disorder by experiments.
This work is supported by the National Natural Science Foundation of China, the Ministry of Science and Technology and so on.
Paper information: 
Sha Liu , Jun Yuan, Wanyuan Deng, Mei Luo, Yuan Xie, Quanbin Liang, Yingping Zou*, Zhicai He, Hongbin Wu   * and Yong Cao, Nature Photonics, 14 (5),  P. 300–305 (2020).
Paper linking:
https://www.nature.com/articles/s41566-019-0573-5