生物质快速热解制取的生物油是一种具有前景的可再生液体燃料,但其高含水量(常达40 wt%以上)及复杂含氧有机组分严重影响其热值与稳定性,制约其规模化应用。传统脱水技术如蒸馏能耗高,且易引发生物油热降解;而常规膜材料在强酸性、多组分生物油体系中易发生污染与结构破坏,难以实现长期稳定运行。
针对这一挑战,华南理工大学李刚教授、樊栓狮教授团队与大连理工大学周亮教授合作,开发了一种基于氧化石墨烯(GO)膜的渗透蒸发脱水技术,并在复杂生物油体系中展现出优秀的稳定性与抗污染性能。相关研究成果以“A graphene oxide membrane with self-regulated nanochannels for the exceptionally stable bio-oil dehydration”为题,发表于化工领域国际权威期刊《AIChE Journal》。
研究团队将GO膜应用于pH=2、含数百种有机组分的真实生物油脱水。在长达70小时、30°C的连续测试中,GO膜表现出前所未有的稳定性能:水通量稳定在约0.43 kg·m⁻²·hr⁻¹,渗透液中水含量始终保持在97 wt%的高水平。与之对比,传统ZSM-5沸石膜在相同条件下通量迅速衰减,6小时后几乎完全丧失分离能力。SEM表征也证实,GO膜在长期运行后微观结构保持完整,显示出卓越的耐酸性与抗污染能力。
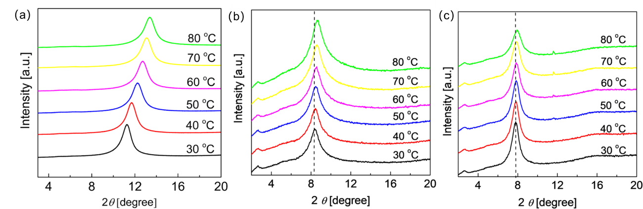
本研究最具突破性的发现,在于揭示了氧化石墨烯(GO)膜层状纳米通道独特的“自调节”智能行为,这构成了其抵御复杂体系污染的核心物理机制。传统多孔膜(如沸石膜)的分离性能衰减,主要源于其刚性孔道被进料液中有机分子不可逆吸附、堵塞所致。而GO膜由大量二维纳米片堆叠而成,片层间的间隙形成了曲折的层状纳米通道。研究团队通过精巧的实验设计与理论分析,首次明确证实这些纳米通道的尺寸并非固定不变,而是能动态响应外部环境——即同时具有“温度响应性”与“液体介质响应性”。X射线衍射表征直观显示,在干燥状态下,升温会导致GO膜层间距收缩;而当膜浸润于液体中时,层间距显著膨胀,且在不同液体中膨胀程度不同:在成分复杂的生物油中,其层间距明显大于在纯水中的尺寸。这一现象的根源在于分子插层效应:生物油中丰富的水分子及各类有机分子(如酸、酚、醛等)可共同插入GO片层之间,像“楔子”一样撑开片层距离,从而在膜内形成更大的传输空间。尤为关键的是,这种插层诱导的通道膨胀,并非无序的溶胀破坏,而是一种受控的适应性调整。计算得到的水渗透活化能为这一机制提供了动力学证据:在生物油体系中,水在GO膜内扩散的活化能显著低于纯水体系,这正与通道尺寸增大、扩散阻力减小的物理图像相吻合。正是这种“自适应拓宽”特性,赋予了GO膜卓越的抗污染能力:当生物油中的有机分子吸附并试图堵塞通道时,其自身的插层行为反而局部扩大了通道尺寸,使得水分子的传输路径得以保留,而非被完全封死,从而巧妙地实现了“以疏解堵”。这种源于材料本征结构的智能响应机制,突破了刚性多孔膜易污染的固有局限,为开发面向极端复杂体系的新一代智能分离膜材料奠定了全新的原理基础。

图1 (a)氧化石墨烯膜在30℃下进行渗透汽化生物脱水的稳定性,(b)生物油和膜分离后渗透液照片

图2 纯水和生物油系统通过石墨烯氧化膜(GO)的水渗透率随温度的依赖关系

图3 (a)干GO膜在不同温度下的XRD谱图;(b)水和(c)生物油中GO膜的XRD谱图随温度变化
该工作不仅首次验证了GO膜在真实、复杂、强酸性生物油体系中长期稳定脱水的可行性,更重要的是揭示了其“自调节纳米通道” 这一全新的抗污染物理机制。这一发现为设计面向复杂工业体系(如化工、制药、食品等领域的苛刻分离场景)的新一代智能抗污染膜材料提供了全新的思路与理论依据。通过理性设计膜材料的响应性纳米结构,有望实现更高效、更稳定、更长寿命的膜分离过程,推动膜技术在可再生能源和绿色化工中的广泛应用。
相关成果以“A graphene oxide membrane with self‐regulated nanochannels for the exceptionally stable bio‐oil dehydration”发表在化工领域权威期刊《AIChE Journal》。李刚教授为本论文的第一作者兼通讯作者,团队樊栓狮教授和大连理工大学周亮老师为共同通讯。本研究由我单位先进膜材料与分离技术团队主导完成,得到了国家重点科技发展计划(2017YFC0307303-2)、国家自然科学基金项目(21506067,U1662137)和中国石油创新基金(2017D-5007-0503)资助。