氢气水合物的相平衡特性是决定储氢技术实用性的核心,传统纯氢水合物需超高压(200-300 MPa)、低温(240-249 K)条件,难以工业化应用;单一热力学添加剂虽能降低形成压力,但受限于分子结构与功能基团特性,温和化效果有限,且复配添加剂的协同作用机制尚不明确,缺乏系统的相平衡数据支撑,制约了高效储氢体系的筛选与设计。
针对这一问题,华南理工大学化学与化工学院樊栓狮、王燕鸿团队通过等容压力搜索法,系统测定了含单一添加剂(含氧官能团的四氢吡喃 THP、含卤素官能团的二氯甲烷 DCM)与复配添加剂(THF+TBAB、SF₆+TBAB)的氢水合物相平衡数据(温度275.33-282.98 K、压力 1.65-12.63 MPa),揭示了官能团特性、分子结构及复配协同作用对相平衡的调控机制,为氢水合物储氢体系的优化提供了关键数据支撑。
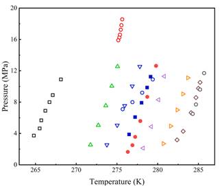
研究首先验证了单一添加剂对氢水合物相平衡的调控效果(图 1)。在 5.60 mol%(化学计量浓度)下,THP(含醚键 C-O-C)与 DCM(含 - Cl 基团)均能显著将相平衡点推向温和区域:276.33 K 时,DCM 体系的平衡压力仅 1.65 MPa,较纯氢水合物(约 200 MPa)大幅降低;相同温度下,THP 体系平衡压力为 3.88 MPa,表明含卤素官能团的 DCM 热力学稳定性优于含氧官能团的 THP。对比不同官能团添加剂的相平衡曲线发现,含氧添加剂的稳定性顺序为 1,4 - 二氧六环(DXN)<环氧丙烷(PO)<1,3 - 二氧五环(DIOX)<THP < 四氢呋喃(THF),对称五环或六环结构、适配笼体的分子尺寸是提升稳定性的关键;卤素添加剂稳定性顺序为三氯甲烷(TCM)<DCM<1,1 - 二氯 - 1 - 氟乙烷(HCFC-141b),-F 的强电负性比 - Cl 更易强化水分子间氢键,且分子尺寸与笼体的匹配度会影响低压区稳定性(如低压 <10.9 MPa 时 TCM 更优,高压> 10.9 MPa 时 DCM 更优)。

图 1. 单一热力学添加剂体系的氢水合物相平衡曲线
(蓝色:H₂-THP 体系;红色:H₂-DCM 体系;其他颜色:文献中不同添加剂体系数据)
复配添加剂体系展现出更优异的相平衡调控效果(图 2)。在 THF 体系中加入 0.41 mol% TBAB 后,相同压力下平衡温度提升 0.25-0.55 K:279.05 K 时,THF+TBAB 体系平衡压力 3.78 MPa,较纯 THF 体系(3.42 MPa@278.75 K)温度更高且压力更低;SF₆体系中加入 0.30 mol% TBAB 后,平衡温度稳定提升 0.42 K,282.98 K 时平衡压力仅 4.53 MPa,显著优于纯 SF₆体系(约 6 MPa@相同温度)。DSC 与P-T 曲线分析表明,复配体系并非简单物理混合,而是形成了具有独特氢键网络的共晶水合物结构 ——TBAB(半笼形水合物)与 THF/SF₆(sII 型水合物)通过共同结构单元组装,弱化了主客体相互作用,进一步降低了氢水合物的形成压力,其中 SF₆+TBAB 体系的 P-T 曲线斜率更平缓,表明 SF₆的非极性键(S-F)能增强共晶水合物稳定性,使压力对相平衡的影响更显著。

图 2. 复配热力学添加剂体系的氢水合物相平衡曲线
(蓝色圆:H₂-SF₆-TBAB 体系;红色框:H₂-THF-TBAB 体系;其他:单一 THF/TBAB 体系文献数据)
机制分析表明,添加剂对氢水合物相平衡的调控本质是官能团与水分子间的相互作用(图 3):含氧官能团通过 C-O-C 键与水分子形成弱氢键,适度扩张笼体结构;卤素官能团(尤其是 - F、-Cl)凭借强电负性强化范德华力,稳定氢键网络;复配体系中,TBAB 的离子特性(TBA⁺、Br⁻)与 THF/SF₆的笼体结构协同,构建更疏松的共晶网络,既降低氢分子扩散阻力,又提升水合物稳定性。该机制为添加剂筛选提供了明确方向:优先选择含强电负性卤素或对称环状含氧官能团、分子尺寸适配 sII 笼体的单一添加剂,或采用 “sII 型添加剂 + 半笼形添加剂” 的复配组合,可实现氢水合物形成条件的高效温和化。

图 3. 添加剂调控氢水合物相平衡的机制示意图
(左:单一添加剂通过官能团与水分子作用稳定笼体;右:复配添加剂形成共晶结构,协同优化相平衡)
相关工作成果近日以 “Hydrate phase equilibrium of hydrogen with THP, DCM,TBAB+THF and sulfur hexafluoride +TBAB aqueous solution systems” 为题发表在流体相平衡领域国际期刊《Fluid Phase Equilibria》(590, 2025, 114282)。文章通讯作者为华南理工大学化学与化工学院樊栓狮教授,第一作者为华南理工大学化学与化工学院王燕鸿副研究员与博士生陈思远(共同一作),论文作者还包括化学与化工学院李新颖、郎雪梅副研究员和李刚教授。该研究得到了广州市重点研发项目(202206050002)、广东海洋经济发展专项(GDNRC [2024] 33)和国家自然科学基金(51876069)的资助。
论文链接:https://doi.org/10.1016/j.fluid.2024.114282