温室气体CO2的大量排放对全球气候和环境有显著影响,引起了全球关注。有人提出将CO2储存在水合物中,作为一种减少大气 CO2排放的可能策略。然而,在CO₂水合物封存与分离技术中,CO2水合物形成速率较慢,水合物成核过程是决定反应诱导时间、生成速率以及体系稳定性的关键环节,其相关的成核机制尚未被充分理解,这限制了该技术的商业应用。与理想条件下的均相成核不同,实际工程与实验体系中,CO₂水合物几乎总是在反应器壁面、孔隙骨架或固体颗粒表面发生非均相成核。然而,壁面物性如何影响成核能垒,溶液活度变化又在其中扮演何种角色,这些问题至今仍缺乏统一而清晰的动力学认识。
针对上述关键科学问题,华南理工大学樊栓狮教授团队围绕CO2水合物非均相成核机理展开系统研究,构建了同时考虑壁面润湿特性与溶液活度效应的成核动力学模型,对CO2水合物在真实界面条件下的成核行为进行了深入解析。

图1 分形表面上CO2水合物成核示意图
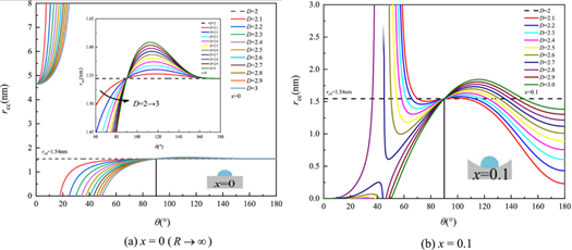
研究表明,壁面特性是调控水合物成核能垒的决定性因素之一。随着壁面接触角的减小(即润湿性增强),水合物临界成核半径和成核自由能显著降低,从而大幅缩短成核诱导时间,促进水合物快速生成。这一结果从理论上解释了实验中常见的“亲水表面更易诱导水合物生成”的现象。与此同时,研究进一步引入溶液活度修正项,揭示了电解质或添加剂存在条件下水合物成核行为的本质变化。结果显示,溶液活度的降低会削弱水分子参与水合物晶核构建的能力,从而提高成核自由能屏障;但在非均相条件下,这种抑制效应可被有利的壁面润湿性部分抵消,体现出壁面效应与溶液活度之间的显著耦合关系。

图 2 接触角
和分形维数D对CO2垂直在 (a) x = 0(平面表面)和 (b)粗糙凹面(x = 0.1, D = 2, 2.1…3.0)上
临界成核半径rcc的影响
通过系统参数分析,本研究首次明确指出:在低活度溶液中,通过优化界面性质(如引入亲水壁面或多孔介质)可有效恢复甚至显著增强水合物成核能力;在非均相成核条件下,成核速率对界面参数的敏感性远高于对体相热力学参数的敏感性;此外,单纯基于均相成核理论往往会因高估成核能垒而导致对工程体系中水合物生成潜力的低估。这些结论为CO₂水合物封存、气体分离及反应器设计等应用领域提供了更贴近实际工况的理论基础,也为通过界面工程调控实现水合物的可控生成开辟了重要的技术思路。
相关研究成果以“CO2水合物的非均相成核:考虑壁面特性和溶液活度影响的动力学分析”(Heterogeneousnucleation of CO2 hydrate: A thermodynamics analysis consideringeffects of wall characteristics and solution activity)为题发表在水合物与能源化工领域国际期刊《InternationalJournal of Heat and Mass Transfer》。论文通讯作者为王燕鸿副教授和郑平院士,第一作者为华南理工大学化学与化工学院李梦钖博士。该研究得到了得到了广东省海洋经济发展专项项目(六大海洋产业)(GDNRC[2022]46)、广州市重点研发计划(No.202206050002, 202206050001)以及国家自然科学基金 (21736005 和 51876069)的支持。
原文:
Mengyang Li,Shuanshi Fan, Yanhong Wang, Xuemei Lang, Ping Cheng, Heterogeneous nucleationof CO2 hydrate: A thermodynamics analysis considering effects ofwall characteristics and solution activity, International Journal of Heat andMass Transfer, 2024, 224, 125285
https://doi.org/10.1016/j.ijheatmasstransfer.2024.125285