聚硼硅氧烷——神奇的防弹材料pan>><p style="font-size:21px;font-family:微软雅黑, "microsoft yahei";line-height:1.75em;">原创 习景媛 高分子物理学 2024年11月20日 20:03 上海聚硼硅氧烷/Polyborosiloxane
<span style="text-indent:2em;">
<<>/span></p><p class="p_text_indent_2 wp_editor_art_paste_p" style="font-size:21px;font-family:微软雅黑, "microsoft yahei";line-height:1.75em;">前言
防弹衣的材料除了选择剪切增稠材料之外,还可以选择“遇软则软,遇硬则硬”的剪切硬化胶。这种材料在常态下很柔软且具有弹性,一旦遇到高速的冲击或挤压,分子链立刻相互锁定,材料变得坚硬从而消耗外力。当外力消失后,材料会恢复到最初的柔性态。由于其出色的抗冲击性能和优异的柔韧性,它们被广泛应用于冲击防护领域。而剪切硬化胶国际上比较通行的配方是采用一类聚合物材料——聚硼硅氧烷。
1
聚硼硅氧烷分子结构及合成
聚硼硅氧烷(PBDMS)是一种基于硼-氧动态键的本征型自修复聚合物,呈半固态透明状且具有良好的延展性,其作为柔性自修复光学保护薄膜在可折叠电子屏、柔性电池基板、汽车车窗等方面具有巨大的应用价值。
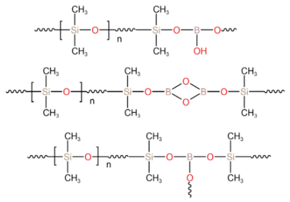
<p class="p_text_indent_2 wp_editor_art_paste_p" style="font-size:21px;font-family:微软雅黑, "microsoft yahei";line-height:1.75em;"> 聚硼硅氧烷的结构为无定形交联网络状结构。
图:聚硼硅氧烷可能的分子结构
PBDMS是通过B原子取代聚二甲基硅氧烷上的Si原子制备而成,B原子最外层的空轨道可与其他分子链上的氧原子结合形成动态电子对,这种结合键的结合/解离机制使其具有“固-液”转化特性。
PBDMS有多种合成方式:
非水解法:利用硼酸或硼酸酯与氯硅烷,烷氧基硅烷或硅烷醇之间直接脱去小分子(水,醇,盐酸等)而缩聚成PBDMS。
共水解缩聚法:硼酸酯或硼酸盐作为硼源,通过在水中发生水解后缩合制得PBDMS。
Pies-Rubinsztajn法:用用 B(C5F5)3 作催化剂,使Si-H与B-OH发生缩合反应,生成含Si-O-B的化合物。
平衡聚合法:利用硼酸及其衍生物使聚硅氧烷分子链发生断裂,然后高温缩合形成PBDMS。

图:聚二甲基硅氧烷和硼酸反应生成PBDMS
2
防弹机理

图:剪切硬化胶的冲击硬化机理
依靠微观层面的硼原子与氧原子构成的硼氧键的断裂速度迟滞效应,在自然状态下非常柔软,而在承受冲击时,硼氧键会提供非常强的抵抗力,而且冲击载荷越强,抵抗力越大。
在自然状态或低速冲击下,剪切硬化胶处于松弛、柔软的粘流态,表现出优异的柔韧性。
随着外部冲击载荷(或频率)的增大,剪切硬化胶能够发生从粘流态到高弹态,甚至玻璃态的相变,宏观行为表现为模量的急剧增大,因而能够更好的抵抗冲击变形并吸收冲击能量。
当冲击载荷消失后,剪切硬化胶不仅能够恢复至最初的粘流态,而且还能在断裂破碎后重新粘结,表现出优异的自修复特性。
对于PBDMS而言,硼和氧之间的相互作用对聚硼硅氧烷的粘弹性起着重要作用,聚硼硅氧烷通过临时的 Si-O-B 弱键分裂和重新连接形成可逆的物理交联。

PBDMS中可逆的物理交联示意图
3
PBDMS弹性影响因素
系统的弹性又受硼含量、温度、剪切应力等影响:
1
硼含量
图:在不同 B/Si 摩尔比下记录的聚硼硅氧烷的 FTIR 光谱
当硼含量增加时,Si-O-B 桥、B-O 和 B-OH 基团的相对强度呈增加趋势。这些结果表明,聚硼硅氧烷桥的数量最初增加,而当硼负载达到一定水平时,达到平台期。之后,任何进一步的硼添加都不会增加二氧化硅网络中掺入的硼量,而是优先形成 B-OH 和 B-O-B 键。
2温度

图(a),(b):热处理期间 PBS-3 从 840 到 900 cm−1 的拉伸区域 的FTIR 光谱
在热处理过程中样品中 870 cm-1 处源自 Si-O-B 基团的峰减弱,当温度升高到 90 °C 时,强度迅速降低,学者们初步认为聚硼硅氧烷中的氧和硼之间存在弱键合相互作用,并且这种相互作用取决于温度。
4
其他应用
1
配合其他材料共混改性
聚硼硅氧烷同时也是一种具有独特粘弹性的有机-无机材料,将其引入基体材料中可改善材料的力学性能。
Renato等以烷氧基硅烷和硼酸为原料合成了聚硼硅氧烷。将合成的聚硼硅氧烷涂覆在碳纤维表面,在1000℃下进行高温分解,制备出了一种C/SiBCO陶瓷基共混材料,研究结果表明,硼元素可显著提高陶瓷基共混材料的热稳定性,并且含硼的陶瓷材料与碳纤维具有良好的附着力。
PBDMS还可以与PA11共混:PBDMS中特殊的Si—O—B键对PA11的热稳定性影响不大,PBDMS的加入降低了复合材料的结晶度进而提升了其冲击强度。
2
聚硼硅氧烷剪切增稠凝胶
聚硼硅氧烷剪切增稠凝胶是一种高分子材料,其储能模量,弹性模量和屈服应力等力学性能在剪切、压缩和拉伸的外部作用下显著增强,它具有剪切增稠的特性,在防护领域有着良好发展前景。
“
结语
/ NEWS TODAY
通过对聚硼硅氧烷的分子结构,合成方式,反应机理以及弹性影响因素等的讨论,了解了PBDMS的多种应用场景以及性能优势。
聚硼硅氧烷/Polyborosiloxane
<span style="text-indent:2em;">
<<>/span></p><p class="p_text_indent_2 wp_editor_art_paste_p" style="font-size:21px;font-family:微软雅黑, "microsoft yahei";line-height:1.75em;">前言
防弹衣的材料除了选择剪切增稠材料之外,还可以选择“遇软则软,遇硬则硬”的剪切硬化胶。这种材料在常态下很柔软且具有弹性,一旦遇到高速的冲击或挤压,分子链立刻相互锁定,材料变得坚硬从而消耗外力。当外力消失后,材料会恢复到最初的柔性态。由于其出色的抗冲击性能和优异的柔韧性,它们被广泛应用于冲击防护领域。而剪切硬化胶国际上比较通行的配方是采用一类聚合物材料——聚硼硅氧烷。
1
聚硼硅氧烷分子结构及合成
聚硼硅氧烷(PBDMS)是一种基于硼-氧动态键的本征型自修复聚合物,呈半固态透明状且具有良好的延展性,其作为柔性自修复光学保护薄膜在可折叠电子屏、柔性电池基板、汽车车窗等方面具有巨大的应用价值。
<p class="p_text_indent_2 wp_editor_art_paste_p" style="font-size:21px;font-family:微软雅黑, "microsoft yahei";line-height:1.75em;"> 聚硼硅氧烷的结构为无定形交联网络状结构。
图:聚硼硅氧烷可能的分子结构
PBDMS是通过B原子取代聚二甲基硅氧烷上的Si原子制备而成,B原子最外层的空轨道可与其他分子链上的氧原子结合形成动态电子对,这种结合键的结合/解离机制使其具有“固-液”转化特性。
PBDMS有多种合成方式:
非水解法:利用硼酸或硼酸酯与氯硅烷,烷氧基硅烷或硅烷醇之间直接脱去小分子(水,醇,盐酸等)而缩聚成PBDMS。
共水解缩聚法:硼酸酯或硼酸盐作为硼源,通过在水中发生水解后缩合制得PBDMS。
Pies-Rubinsztajn法:用用 B(C5F5)3 作催化剂,使Si-H与B-OH发生缩合反应,生成含Si-O-B的化合物。
平衡聚合法:利用硼酸及其衍生物使聚硅氧烷分子链发生断裂,然后高温缩合形成PBDMS。

图:聚二甲基硅氧烷和硼酸反应生成PBDMS
2
防弹机理

图:剪切硬化胶的冲击硬化机理
依靠微观层面的硼原子与氧原子构成的硼氧键的断裂速度迟滞效应,在自然状态下非常柔软,而在承受冲击时,硼氧键会提供非常强的抵抗力,而且冲击载荷越强,抵抗力越大。
在自然状态或低速冲击下,剪切硬化胶处于松弛、柔软的粘流态,表现出优异的柔韧性。
随着外部冲击载荷(或频率)的增大,剪切硬化胶能够发生从粘流态到高弹态,甚至玻璃态的相变,宏观行为表现为模量的急剧增大,因而能够更好的抵抗冲击变形并吸收冲击能量。
当冲击载荷消失后,剪切硬化胶不仅能够恢复至最初的粘流态,而且还能在断裂破碎后重新粘结,表现出优异的自修复特性。
对于PBDMS而言,硼和氧之间的相互作用对聚硼硅氧烷的粘弹性起着重要作用,聚硼硅氧烷通过临时的 Si-O-B 弱键分裂和重新连接形成可逆的物理交联。

PBDMS中可逆的物理交联示意图
3
PBDMS弹性影响因素
系统的弹性又受硼含量、温度、剪切应力等影响:
1
硼含量
图:在不同 B/Si 摩尔比下记录的聚硼硅氧烷的 FTIR 光谱
当硼含量增加时,Si-O-B 桥、B-O 和 B-OH 基团的相对强度呈增加趋势。这些结果表明,聚硼硅氧烷桥的数量最初增加,而当硼负载达到一定水平时,达到平台期。之后,任何进一步的硼添加都不会增加二氧化硅网络中掺入的硼量,而是优先形成 B-OH 和 B-O-B 键。
2温度

图(a),(b):热处理期间 PBS-3 从 840 到 900 cm−1 的拉伸区域 的FTIR 光谱
在热处理过程中样品中 870 cm-1 处源自 Si-O-B 基团的峰减弱,当温度升高到 90 °C 时,强度迅速降低,学者们初步认为聚硼硅氧烷中的氧和硼之间存在弱键合相互作用,并且这种相互作用取决于温度。
4
其他应用
1
配合其他材料共混改性
聚硼硅氧烷同时也是一种具有独特粘弹性的有机-无机材料,将其引入基体材料中可改善材料的力学性能。
Renato等以烷氧基硅烷和硼酸为原料合成了聚硼硅氧烷。将合成的聚硼硅氧烷涂覆在碳纤维表面,在1000℃下进行高温分解,制备出了一种C/SiBCO陶瓷基共混材料,研究结果表明,硼元素可显著提高陶瓷基共混材料的热稳定性,并且含硼的陶瓷材料与碳纤维具有良好的附着力。
PBDMS还可以与PA11共混:PBDMS中特殊的Si—O—B键对PA11的热稳定性影响不大,PBDMS的加入降低了复合材料的结晶度进而提升了其冲击强度。
2
聚硼硅氧烷剪切增稠凝胶
聚硼硅氧烷剪切增稠凝胶是一种高分子材料,其储能模量,弹性模量和屈服应力等力学性能在剪切、压缩和拉伸的外部作用下显著增强,它具有剪切增稠的特性,在防护领域有着良好发展前景。
“
结语
/ NEWS TODAY
通过对聚硼硅氧烷的分子结构,合成方式,反应机理以及弹性影响因素等的讨论,了解了PBDMS的多种应用场景以及性能优势。
