这篇Nature系列综述,发人深思,“聚合”和“解聚合”中的“水”!
高分子科学前沿 2024年09月30日 07:51 浙江
“聚合”和“解聚合”中的“水”,或将解答生命起源!
探寻生命起源是一个多层面的跨学科科学领域,其重要问题涵盖了从行星环境到达尔文进化论的兴起,再到复杂生命形式的后续演化的所有科学学科。生命普遍存在的组成成分,即进化的基础,是核酸(DNA和RNA)、蛋白原性肽和一系列辅因子。这些生命的基本分子支撑了整个已知的地球生命史,也是生命起源化学最重要的目标。然而,由于系统发育和岩石记录的侵蚀,生命的深远历史永远无法被揭示。因此,验证生命起源化学的唯一机制将是在非生物条件下形成一个类似于现存最简单生命形式的化学系统。了解保守的生化物质如何能够选择性形成,是这一过程中的关键环节。选择性,即从许多“理论上可能的”选项中生成一种分子,是生物化学的标志。与陨石中发现的非生物材料相比,生物化学产生的分子种类相对较少,而且往往具有极高的精确度。高效且选择性的化学反应对于产生足够的生命必需分子至关重要。因此,对促使生命分子形成的物理和化学因素的理解是生物化学的根源,并将最终决定启动地球或宇宙中其他地方生命所需满足的环境条件。
在本综述中,来自英国伦敦大学学院的Matthew W. Powner教授和Daniel Whitaker教授概述了生命起源化学方法的关键要素,这些要素可能最终成功阐明生命起源——研究生命核心化学成分是如何在水环境中通过选择性形成、相互作用和功能实现的。该综述以题为“On the aqueous origins of the condensation polymers of life”发表在《Nature Reviews Chemistry》中。

【水作为溶剂】
尽管水在生命化学中扮演着至关重要的角色,但传统上,人们认为水对于那些构成生命的复杂分子的形成是不利的,因为它倾向于促进水解反应,从而破坏而非促进分子的聚合。然而,作者挑战了这一观点,认为水实际上是生命化学的关键介质。
水是生命的溶剂,生命的分子功能依赖于水。例如,核酸的双螺旋结构的形成依赖于水的疏水性和电荷-电荷相互作用。水不仅是生化反应的介质,而且其独特的物理化学性质,如氢键形成能力和相对高的介电常数,为生命分子的稳定性和功能性提供了必要的环境。此外,水在许多生物分子的自发折叠和催化反应中起着至关重要的作用。
作者认为,尽管水解反应在热力学上是有利的,但在生命起源的化学过程中,必须克服这种倾向,以便形成更复杂的分子。生命分子最有可能是在水中形成和选择的,因为水提供了一个适宜的环境,使得这些分子能够通过相互作用和选择过程逐渐演化。为了在水环境中成功进行生命起源的化学过程,关键在于找到一种平衡——即在热力学激活和动力学稳定性之间找到平衡。这意味着需要找到一种方法,使得分子能够在水环境中有效地聚合,而不会被水解。
生命的基础化学成分是如何通过选择性形成、相互作用和功能,在水环境中被塑造的?缩合反应,是生物大分子合成的一个标志,但似乎在水里进行得不好。缩合反应需要克服水解反应的热力学压力,同时还需要保证亲核试剂能够动力学上胜过水,从而形成缩合产品。为此,作者在文章中提出了一个可能的解决方案,即利用预生物分子中储存的能量,如腈类化合物,来驱动聚合反应。这种方法可以避免形成完全水解的单体,从而促进缩合反应的发生。
关于未来研究的目标,包括如何在避免形成完全水解的单体的情况下合成核酸,以及是什么促使信息从核酸流向蛋白质。这些问题的探讨对于理解生命起源至关重要,因为它们关系到生命分子如何在水环境中形成并最终导致复杂生命体的出现。

图1. 腈类催化的合成

图2. 缩聚聚合物生长及其自发裂解。
【水中肽的缩合】
肽类化合物是生命的基础构件,由氨基酸通过缩合反应形成。尽管缩合反应在水环境中进行存在热力学上的挑战,因为水分子倾向于促使水解反应,但生命起源的化学研究显示,在特定条件下,缩合反应仍然可以有效地进行。
在文章中,作者首先提出了几个关键问题:在水环境中,蛋白质源性的氨基酸是否倾向于自发形成肽类化合物?在没有保护基团或进化出的催化剂的情况下,肽类的合成是否可能?肽类的合成策略是否与现代生物体内从N端到C端的肽类合成策略相似?这些问题对于理解生命起源至关重要,因为它们关系到生命分子如何在早期地球的环境中形成。
肽类合成的化学机制是怎样的,特别是在没有保护基团或进化出的催化剂的情况下,氨基酸如何在水环境中形成肽键?针对这一问题,作者指出,氨基酸的羧酸基团是一个很差的反应性亲电体,直接缩合在能量上不利于水解反应,因此需要催化剂来促进直接缩合。然而,这些催化剂也会促进水解反应,这就提出了一个问题:如何在不使用保护基团的情况下,选择性地促进肽键的形成。
目前人们已经提到了一些策略,比如使用N-乙酰化或N-磷酸化的二肽作为活化的单元,这些单元可以被特定的活化剂激活,并缩合成更长的肽链。但是,这种策略存在问题,因为活化剂与磷酸盐和羧酸盐的反应性不兼容,这限制了它与核苷酸化学的兼容性。
此外,使用N-羧酸酐(NCA)也可以作为活化氨基酸的策略。NCA是一类反应性较强的化合物,可以与胺反应形成肽键。然而,NCA在水溶液中迅速水解,需要在非水溶剂中预先形成或通过原位环化形成。此外,NCA策略需要将单体活化和肽链生长的空间分开,这在细胞内是难以实现的。
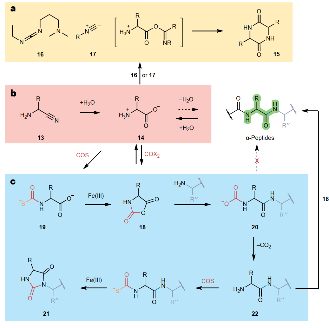
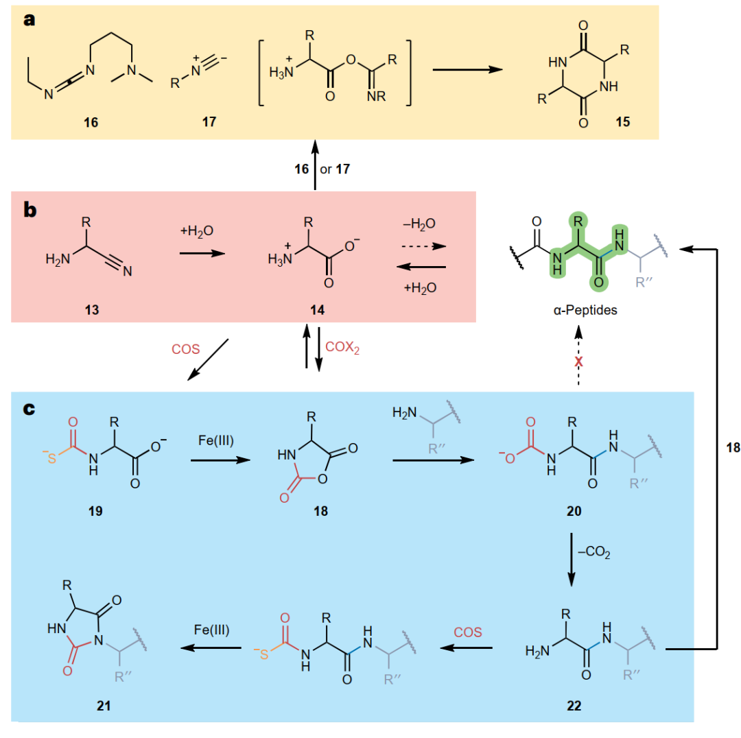
α-氨基腈在肽类合成中具有巨大的潜在作用。α-氨基腈可以通过Strecker反应从醛、氰化氢和氨生成,并且它们在水溶液中相对稳定。人们发现,通过α-氨基腈的硫醇解、水解和活化,可以有效地促进肽键的形成,而无需使用保护基团。这种策略不仅在水溶液中有效,而且对所有蛋白质源性氨基酸都具有很好的选择性。
文章进一步探讨了肽类合成的生物模拟策略,即从N端到C端的肽类合成策略。这种策略与现代生物体内肽类的合成方式相似,可能对于肽类与核酸化学的整合至关重要。肽类的合成需要与核酸的复制化学兼容,并且需要在水环境中有效地进行。
关于肽类合成在水环境中的挑战和机遇。目前人们普遍认为,尽管存在热力学上的挑战,但在特定的化学条件下,肽类的合成是可能的。这些条件包括使用α-氨基腈作为活化的单体,以及利用硫醇催化的缩合反应。这些发现为理解生命起源的化学过程提供了重要的见解,并为未来的研究提供了新的方向。

图3. α-氨基酸合成肽的挑战

图4. α-肽的合成肽过程
【水中的核酸缩合】
核酸包括DNA和RNA,是生物体内遗传信息的载体,它们的形成是生命起源的关键问题之一。核酸具有两个关键特性:一是它们能够通过互补配对进行识别,从而作为自身形成的模板;二是它们能够在不改变二级结构的情况下改变序列中的信息。这些特性使得核酸非常适合在近中性的水溶液中工作。氢键识别单元(如AT/U和CG)是刚性的、尺寸匹配的疏水性芳香族化合物,而它们的骨架是由带电荷的磷酸盐连接的亲水性糖分子,因此双链聚合物可以自发组装成疏水核心和亲水外壳。
文章进一步探讨了潜在的遗传核酸(XNAs)的化学空间,这些XNAs基于相同的特性,但目前人们尚未得出生命为何特别选择RNA和DNA作为遗传物质的明确解释。尽管有可能生命最初出现时存在核酸分子的混合,但最终只剩下目前使用的两种,这种解释可能不如从一开始RNA和DNA就是唯一的聚合物那样简洁。此外,目前人工核酸合成具有相当大的挑战,包括如何在没有酶的情况下在水溶液中有效地合成核酸。尽管在干燥状态或粘土上进行的研究表明,活化的核苷酸可以更有效地缩合,但这些条件尚未被证明与核酸复制兼容。此外,人们发现,活化的核苷酸单体可以在水溶液中进行非模板驱动的合成,这是形成能够作为进一步模板合成模板的核酸的初始要求。
目前人们认为,核苷酸缩合反应通常具有两种主要形式:模板驱动和非模板驱动。模板驱动合成是核酸复制的基础,而非模板驱动合成是形成能够作为模板的核酸的先决条件。尽管人们已经证明在水溶液中可以有效地复制短RNA序列,但如何将遗传信息从XNA转移到DNA和RNA仍然是一个挑战。
在现代生命体中,核苷酸的活化和缩合反应,特别是如何将核苷酸转化为活化的核苷酸-5'-磷酸这个过程涉及到使用三磷酸核苷(NTPs),它们结合了热力学激活和动力学稳定性,使得聚合反应可以被催化控制。然而,在非酶催化的条件下,如何实现这一步骤仍然是一个未解决的问题。
在水溶液中进行的核酸合成的同样具有挑战性,包括如何实现核苷酸的磷酸化,以及如何有效地进行缩合反应。尽管已经取得了一些进展,例如使用磷酰胺作为模型底物进行非酶催化的复制,但这些方法仍然面临着诸多挑战,包括反应缓慢和副产物的积累。

图5. 核酸的模板合成

图6. 选择性磷酸化反应
总结,这篇综述讨论了在水环境中合成生命的核心化学成分(如蛋白质和核酸)的挑战和潜在解决方案。作者认为,虽然水对这些生物分子的功能至关重要,但由于缩合聚合物在水中的热力学不稳定性,水也带来了固有的挑战。本文探讨了克服这些挑战的策略,例如利用像氰基等前生物分子的化学能量来驱动选择性聚合物合成,同时保持动力学稳定性。本文突出了对核苷酸和氨基酸起源的理解进展,并概述了阐明核酸和蛋白质之间信息流动的前生物合成的未解目标。
