莱赛尔专题:(二)纤维素的结构与性能
十四五期间,纺织行业将纤维新材料持续创新升级列为五大重点工程之首。莱赛尔(Lyocell)纤维专用浆粕、溶剂、交联剂和差别化莱赛尔纤维关键技术突破是行业十四五期间发展重点任务之一。
莱赛尔纤维以自然界中取之不尽用之不竭的木、竹等为原料,制造流程环保,具有棉的舒适性、涤纶的强度、毛织物的豪华美感和真丝的独特触感及柔软垂坠,无论在干或湿的状态下,均极具韧性,凭借自身优异性能,在中国起步较晚、但发展迅速。


莱赛尔纤维专题将具体从以下方面展开:(一)Lyocell纤维发展的历史沿革;(二)纤维素的结构与性能;(三)Lyocell纤维用浆粕的生产方法及主要性能指标;(四)纤维素在NMMO溶液中的溶解机理;(五)Lyocell纤维的制备工艺及影响因素;(六)溶剂回收;(七)Lyocell纤维的性能及应用;(八)Lyocell纤维发展的前景展望。
本期将具体介绍纤维素的结构与性能,敬请持续关注~



纤维素是广泛存在于自然界动植物中的天然高分子,它是植物细胞壁的主要成分,也是海洋生物的外膜的组成部分。据测算,世界现存的纤维素量高达万亿吨,每年新生成的纤维素为1000亿~1500亿吨。纤维素有众多的用途,它不仅广泛用于纺织行业,还可用作食品添加剂及其多种工业生产的原材料。纤维素可谓取之不尽,用之不竭,是人类最宝贵的天然可再生资源之一。

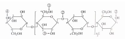
纤维素分子是由葡萄糖通过β-1,4 糖苷键连接起来的链状高分子,当纤维素与无机酸作用发生水解反应时,最终可以得到接近理论量的 D-葡萄糖。
(C6H10O5)n+nH2O=n(C6H12O6)
纤维素的分子式为(C6H10O5)n,其中n为葡萄糖基的数量,称为聚合度(DP),纤维素的分子量范围为50000~2500000(相当于300~15000 个葡萄糖基)。
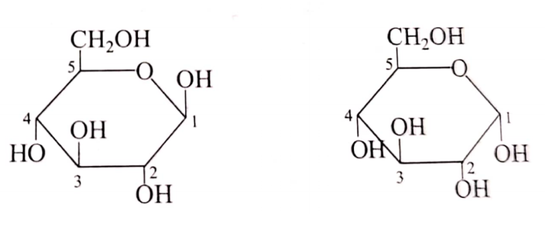
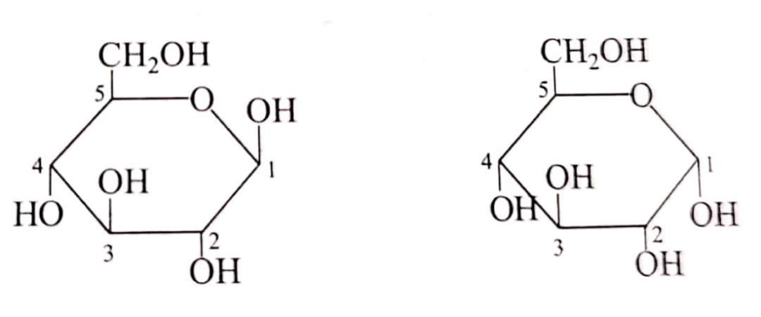
葡萄糖有两种基本的立体构型。由五个碳与一个氧原子构成了一个平面的六元环,碳1和碳4分别处于六元环中,饱和碳具有正四面体的构型,碳1和碳4的两个σ键分别用于构成六元环,另两个σ键分别与氢和羟基相连,对于六元环的平面而言,与碳1和碳4相连的羟基可以处在平面的同一侧,也可以不在同一侧。
当碳1、碳4位上的羟基处于葡萄糖环的同一侧时,该结构称为 α-D 葡萄糖;
相反,当碳1、碳4位上的羟基不在同一侧时,则称为 β-D 葡萄糖(图2-1)

图2-1 β-D 葡萄糖(左)和 α-D 葡萄糖(右)
D 和 L 则来自葡萄糖分子立体结构上的差异,饱和碳原子的四个共价键与4个原子或原子团相连接时,碳原子处于正四面体的中心,当与其相连的四个基团不相同时,便会产生镜像异构。
葡萄糖分子中存在4个不对称碳原子,因此,有16个镜像异构体,即8个D型和8个L型。D和L取自英文 Dextrorotatory 和 Levorotatory 的字头,表示右旋和左旋。
通常人们都是以D型和L型的3碳糖甘油醛为标准来确定葡萄糖的构型。
在投影结构图中,当3碳糖甘油醛中与末端相连的伯醇碳原子邻接的不对称碳原子上的羟基位于右边时,定为D型;位于左边时,定为L型。
同样,开链结构的葡萄糖上与末端相连的伯醇碳原子邻接的不对称碳5原子上的羟基位于右边时,定为D型;位于左边时,则为L型(图2-2)。
同样,开链结构的葡萄糖上与末端相连的伯醇碳原子邻接的不对称碳5原子上的羟基位于右边时,定为D型;位于左边时,则为L型(图2-2)。
同样,开链结构的葡萄糖上与末端相连的伯醇碳原子邻接的不对称碳5原子上的羟基位于右边时,定为D型;位于左边时,则为L型(图2-2)。
同样,开链结构的葡萄糖上与末端相连的伯醇碳原子邻接的不对称碳5原子上的羟基位于右边时,定为D型;位于左边时,则为L型(图2-2)。
同样,开链结构的葡萄糖上与末端相连的伯醇碳原子邻接的不对称碳5原子上的羟基位于右边时,定为D型;位于左边时,则为L型(图2-2)。
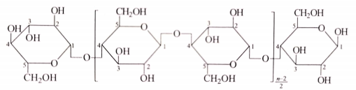
纤维素则是由β-D葡萄糖组成。

图2-2 L -型葡萄糖(左)和 D-型葡萄糖(右)
由于内旋转的作用,分子中原子的几何排列会不断发生变化,进而产生了各种内旋转异构体,异构体的数量取决于各种异构体的能量,能量越低存在的概率越大。
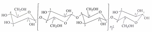
纤维素分子链的最稳定构象是两个β-D葡萄糖基平面呈180°,并通过苷键连接组成纤维素的最基本晶格单元,即通常认为的椅式结构,如图2-3、图2-4所示。

图2-3 纤维素纤维的结构式

图2-4 纤维素纤维的椅式构型
与其他天然聚合物比较,纤维素分子的重复单元简单而均一,没有支链结构,使其易于向长度方向伸展;加上葡萄糖环上有多个羟基,十分有利于形成分子内和分子间的氢键。
人们对纤维素的立体结构进行了大量的研究,通过射线 X 衍射等手段确立了纤维素的晶体结构,通常认为纤维素的“单元晶胞”属于单斜晶系,具有边长a≠b≠c和晶轴夹角α≠β≠γ≠90°的特征。
其晶胞参数为:a=8.35Å、b=10.3Å、c=7.9Å和β=84°。
其晶态结构如图2-5所示。

图2-5 纤维素纤维的晶态结构
X射线衍射获得的信息实际上反映的是具有一定规律排列的原子的位置,纤维素分子占据了晶体单元的四个角和一条中心线,每一个边上含有一个纤维素的链单位(晶胞),即两个葡萄糖基,并反转180°连接。
这种晶型结构也被称为纤维素Ⅰ。
除了纤维素Ⅰ之外,迄今已经发现了五种不同结构的变体,称为纤维素Ⅰ、纤维素Ⅱ、纤维素Ⅲ、纤维素Ⅳ、纤维素V。它们的X射线衍射图各具特征,并且X射线衍射强度各不相同。
各种纤维素的晶胞参数见表2-1。
表2-1 各种纤维素的晶胞参数 | ||||
纤维种类 | 晶胞参数 | |||
| a | b | α | β | |
纤维素Ⅰ | 8.35Å | 10.3Å | 7.9Å | 84° |
纤维素Ⅱ | 8.10Å | 10.3Å | 9.1Å | 62° |
纤维素Ⅲ | 7.74Å | 10.3Å | 9.9Å | 58° |
纤维素Ⅳ | 8.11Å | 10.3Å | 7.9Å | 90° |
纤维素Ⅴ | 8.11Å | 10.3Å | 7.9Å | 90° |
人们常把纤维素Ⅰ称为天然纤维素,而将其他几种称为人造纤维素,因为纤维素Ⅰ在各种不同条件下可以演变为其他几种纤维素晶体。

纤维素纤维的几种变体都来自于纤维素Ⅰ,它们的分子链结构和重复距离几乎相同,其区别在于晶胞大小和形式、链的构象和堆砌形式。
在一定条件下,结晶变体间可发生相互转化,其中最重要的是天然纤维素Ⅰ向纤维素Ⅱ的转化。

纤维素Ⅰ为平行线结构,而纤维素Ⅱ为反平行链结构,故纤维素Ⅱ有更多形成氢键的空间,单元晶胞结构较紧密,能量最低,成为最稳定的晶型。纤维素Ⅱ之所以具有更紧密的结构,不少研究者将其归功于纤维素再生过程中所形成的溶液,在纺丝溶液中分子链被溶剂隔离,易于相互移动,并重新排列成最低的能量形式。
Lyocell 纤维的原料是纤维素Ⅰ,而最终纤维的结构是纤维素Ⅱ。
对天然纤维素超分子结构的研究表明,纤维素由结晶相和非结晶相组成,两相交错存在,用X射线衍射技术测试时,非结晶相呈现无定形状态,其大部分葡萄糖环上的羟基处于游离状态;而结晶相纤维素中大量的羟基形成了数目庞大的氢键,这些氢键可构成巨大的氢键网格,直接导致了致密的晶体结构。
纤维素分子聚集态的特点是易于结晶和形成原纤结构。
对于纤维素聚集态结构的描述,被人们普遍接受的是缨状微胞理论。这一理论认为:
纤维素纤维由晶区和非晶区构成,分子链可以几经折叠形成缨状的结晶部分,同时一个纤维素分子除了形成晶区外,还可以由微胞的边缘进入非晶区,晶区和非晶区之间无截然的不同,因此,结晶部分和非晶部分并非截然分开。可以认为纤维素结构是一个由大分子形成的连续结构,分子排列紧密。取向度好的部分分子间作用力大,形成晶体,而密度小的部分取向度稍差,结合力小,便形成了无定形区,这两个区之间又由分子链直接相连。
纤维素的结构参数很多,结晶度是重要的参数之一,人们在研究纤维素的过程中发明了多种结晶度的检测方法,如射线衍射法、比重法、酸水解法、重氢取代法等。由于各种方法所采用的样品制备过程千差万别,故所得到的结果也各不相同,X射线衍射法是常采用的方法。

射线衍射法
与纤维素相关的各类纤维的结晶度见表 2-2。
表2-2 各类纤维的结晶度 | |||
纤维品种 | 棉纤维 | Lyocell纤维 | 黏胶纤维 |
聚合度 | 10000 | 500~550 | 250~300 |
结晶度/% | 70 | 50 | 30 |
结晶度对纤维素纤维性质产生的影响是有一定规律的。随着结晶度的增加,断裂强度、弹性模量、硬度、密度、形状稳定性都有提高,而延伸度、吸湿性、溶胀性、染料吸附性、化学反应性、柔软性都有所降低。
原纤(fibril)是一种细小、伸展的单元,它会在分子链的长度方向以折叠链的方式聚集成束。由于原纤聚集的大小不同,又可以将其细分为基元原纤(elementary fibril)、 微原纤(micro fibril)和大原纤(macro fibril 或 bundle)。
纤维素是具有不同形态的固体物质,无臭无味,比重为1.50~1.56,比热为0.31~0.33cal/(g·K)。
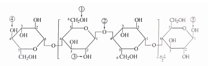
纤维素分子中存在多个具有反应活性的基团,这些基团都可以以不同的方式参与化学反应,纤维素分子中具有反应活性的基团如图 2-6所示。

图2-6 纤维素纤维的反应活性基团
①-伯羟基 ②-苷键 ③-仲羟基 ④-端羟基 ⑤-端羟基(具有半缩醛的性质)
通常把纤维素纤维描述为由数个β-D葡萄糖基以1,4苷键形式连接起来的链状高分子化合物。其中具有参与化学反应的基团包括葡萄糖基上的三个羟基、连接葡萄糖基的苷键和纤维素端部上的两个羟基。
纤维素化学中研究最多的是葡萄糖环上的羟基,纤维素分子中大量羟基的存在不仅造就了纤维素的特殊物理性能,也为其衍生物的制造提供了条件。
位于葡萄糖环 2、3、6 位置上的三个碳原子都与羟基相连,与碳2、碳3相连的是仲羟基,与碳6相连的则是伯羟基。伯、仲羟基具有不同的化学反应能力。在酯化反应中,碳6上羟基的反应速率较其他两个羟基快10倍,而碳2位上的羟基的醚化反应速率比碳3位上的羟基快两倍。
苷键具有缩醛的性质,易在化学反应中断裂,苷键的断裂造成了纤维素分子的降解。
纤维素分子中的端基一头为还原性的末端基(碳1位置上的苷羟基),具有半缩醛的性质;
而另一头是非还原性的末端基(碳4位置上的羟基),它保留了羟基的性质。
由于作为材料使用的纤维素都具有较高的聚合度,端基上的官能团在纤维素中的占比很小,因此,它对材料性能的影响不大。
对于纤维素的研究已经有悠久的历史,也已经开发出了多个纤维素的衍生产品。黏胶纤维的中间体、醋酯纤维、硝化纤维都是纤维素通过特定的化学反应获得的纤维索的衍生物,而 Lyocell 纤维的抗原纤化处理则是交联剂与纤维素上的羟基发生化学反应的结果。
纤维素纤维在很多溶剂中都不溶解,某些能够直接溶解纤维素的溶液又因为对纤维素的结构有较大的破坏作用,进而不能直接用来制备再生纤维素纤维。
黏胶纤维生产工艺是通过制备一种中间产物,这个产物能够溶解在某个溶剂中,纤维素溶液用来纺制成纤维,成纤维后再将其通过化学反应还原成纤维素。
过程中主要的化学反应包括碱化、黄化和还原。
碱化是为了有利于黄化,
黄化是为了纤维素能够在稀碱液中溶解,
还原则是去除黄化剂,将纤维素还原回原来的化学结构。
这些反应都发生在葡萄糖环的仲羟基上。用18%的氢氧化钠处理纤维素,产物为碱性纤维素,碱化反应的速度很快,纤维素和碱充分接触后,只需3~5min便可生成碱性纤维素,生成的碱纤维素的r值约为100(r为酯化度,它表示纤维素分子中100个葡萄糖残基上参与反应的基团分子数),r=100即表示平均每个葡萄糖残基结合一个分子的氢氧化钠,其结合的点通常认为是在酸性较强的碳2的仲羟基上。
反应的第一步是氢氧化钠和纤维素反应,生成碱纤维素,而后碱纤维素与二硫化碳反应生成可溶性纤维素黄酸酯,其反应式如图2-7所示。

图2-7 生成纤维素黄酸酯的反应式
使纤维素能够溶解在碱性溶液中,以制成纺丝济液。
实际生产过程中,要在碱液中溶解纤维素黄酸酯,并不需要对葡萄糖基的所有羟基都进行酯化,r值要求在50~55范围内,也就是说每100个葡萄糖基有50~55个羟基与二硫化碳分子进行反应即可。
换言之,当黄化反应进行到这个程度时,纤维素已经可以溶解在8%的碱性溶液中了。这个溶液就是纤维素纺丝液。
黏胶纤维通常采用湿法纺丝工艺,纺丝液从喷丝孔出来立即进入纺丝浴,纺丝浴是由硫酸等配制而成,纤维素黄酸酯与硫酸反应,纤维素被还原,同时释放出二硫化碳。
酸浴的任务是将离开喷丝头的黏胶溶液细流凝固下来,转变为连续的黏胶长丝,凝固过程中通过双向扩散及化学反应,纤维素被还原。其化学反应式如图 2-8 所示。

图2-8 纤维素被还原的化学反应式
因为溶解纤维素黄酸酯的是氢氧化钠,因此,凝固浴中还会有硫酸和溶液中碱中和的反应。
醋酯纤维素是纤维素中的羟基被酯化而生成的纤维素醋酸酯。不同酯化程度的醋酯纤维有不同的性能和用途。
醋酯纤维大致可分为3类:
酯化程度在 230~240时,称为一醋酯纤维素,主要用于涂料和塑料;
酯化程度在240~260时,称为二醋酯纤维素,主要用于人造丝和香烟过滤嘴;
酯化程度在280~300时,称为三醋酯纤维素,主要用于膜材料和绝缘材料。
作为人造纤维的醋酯纤维酷似真丝,适于制作内衣、浴衣、童装、妇女服装和室内装饰织物等,全世界醋酯纤维的产量约在80万吨。服用醋酯纤维大约占总产量的1/4,而醋酯纤维主要用途是香烟过滤嘴。
生产醋酯纤维的纤维素在反应前需要进行活化,以便使化学试剂均匀地进入纤维素的内部。活化后的纤维素加人硫酸、醋酐组成的乙酰化试剂进行乙酰化处理,硫酸作为催化剂,其反应产物是三醋酸酯。
二醋酸酯通常是由三醋酸酯部分皂化后获得,产物经沉淀、去溶剂、洗涤、干燥及粉碎等工序得到供纺丝用醋片,醋酯纤维制备中的化学反应如图 2-9所示。

图2-9 三醋酯纤维素制备的化学反应式
二醋酸酯纤维长丝用干法纺丝制得,将二醋酸纤维素酯溶解在含少量水的丙酮溶剂中,配成浓度为22%~30%的纺丝液,经过滤和脱泡后进行纺丝。纺丝液细流与热空气流接触,溶剂挥发,形成丝条,经拉伸制得醋酯纤维。
硝化纤维素是纤维素分子上的羟基部分或全部被硝基所取代的产物。
纤维素的硝化是一个典型的酯化反应,由纤维素的醇羟基和硝酸反应生成酯和水。葡萄糖环上的3个羟基都可能与硝酸发生反应,因此,反应程度不同可以得到不同取代度的硝化纤维。平均酯化度可在0~300之间调节,即每一个葡萄糖残基中形成硝酸酯基的数在0~3之间,硝化纤维制备中的化学反应如图 2-10 所示。

图2-10 硝化纤维制备的化学反应式
纤维素在进行硝化时,若单独用硝酸且浓度低于75%时,酯化反应几乎不发生;
硝酸的浓度达到77.5%时,羟基的酯化度可以达到15°;
用无水的硝酸时,酯化度可以达到200;
制备酯化度大于200的硝化纤维就必须用混酸。
这可能与酯化反应是一个可逆平衡反应有关,当体系中生成的水不能排出时,反应就不能朝生成酯的方向发展。工业化生产中主要采用硝酸和硫酸的混合酸,硝酸和硫酸首先生成硝鎓离子(NO2+)。
这是一个活泼的硝化剂,能够促进硝酸酯的形成,硫酸的主要作用为脱水剂,以除去反应中生成的水。硫酸还能够起到膨胀剂的作用,有利于硝酸的渗透,进而加速了硝化反应的进行。硝化反应通常能够迅速完成。

硝化纤维素是一种重要的工业产品,根据含氮量的不同可在不同领域内使用:
含氮量为10.7%~11.2%时,可用于制作赛璐珞;
含氮量为11.2%~11.7%时,可用于制作胶片、眼镜架等;
含氮量为11.8%~12.3%时,可用于制作喷漆、胶黏剂等;
含氮量为12.4%~13.0%时,可用于制作无焰火药。

从左往右,乒乓球分别用的是38mm赛璐珞、40mm赛璐珞,40+赛福。

纤维素葡萄糖基中的羟基除了可以和酸生成酯外,还可以与相应试剂作用而生成各类醚。工业产品包括甲基纤维素、乙基纤维素、羟甲基纤维素、羟乙基纤维素、羟丙基纤维素等。它们在油田、化工、食品、医药、涂料等领域得到广泛应用。

纤维素的醚化反应基本原理都是基于经典的有机化学反应。
例如,甲基纤维素、乙基纤维素和羟甲基纤维素都是按照 Williamsond 的醚化反应原理进行。同理,纤维素在与醚化剂反应前必须先制成碱纤维素,碱纤维素制备的反应如图 2-11 所示。

图2-11碱性纤维素制备的化学反应式
而后,碱纤维素与各类醚化剂反应得到不同的纤维素醚产品,纤维素醚制备中的反应如图 2-12 所示。

图2-12 纤维素与卤化物的醚化反应
醚的生成还可以利用环氧基化合物。碱性纤维素可以和环氧乙烷反应而生成羟乙基纤维素。同理,改变环氧分子的结构,便可得到羟乙基、羟丙基纤维素,它们的化学反应如图2-13 所示。
![]()

图2-13 羟乙基、羟丙基纤维素醚制备的化学反应式
纤维素醚的制备通常要考虑两个重要因素:
一个是取代基的性质,是亲水的还是疏水的;
另一个是取代度。因为它们决定了在水中或有机溶剂中的溶解度和絮凝性。
对于疏水型的取代基,如甲基或乙基,只有达到中等取代度时才能赋予产物水溶性,低取代度的这类产物在水中只能溶胀,或溶于稀碱中。
Lyocell纤维有诸多的优点,但也存在一个突出的缺点——原纤化。Lyocell纤维出现的原纤属于巨原纤,不易磨损脱落,它不仅会影响服装的外观,而且对纤维的加工过程产生不良影响。
张建春等人的研究表明,Tencel纤维具有独特的皮芯结构,芯层主要由高度平行的巨原纤组成,皮层则由较薄的外皮层和较厚的内皮层组成。
Lyocell纤维具有高结晶和高取向的特点,这一特征导致纤维具有很高的纵向拉伸力;另一方面,高结晶使无定形区域减少,进而减少了分子链的横向的互穿。皮层的结构是在纤维成形过程中形成的。
Lyocell纤维纺丝采用的是干喷湿纺工艺,纺丝溶液出喷丝孔后,被冷却风迅速冷却、固化,并承受最大的拉伸应力;此时,纤维直径也急剧减小,由于纤维内部冷却明显慢于外层,内层的固化过程滞后于外层,越往纤维的内部固化的滞后越严重,由此,形成了纤维的层状结构,纤维的纵向由于受到较大的拉伸力,形成了高度取向和结晶结构,而纤维的纵向由于成形时间上的差异,层与层之间就不能形成完善的分子间氢键,进而减少了纤维横向的作用力。这一结构在某些特定的条件下较易遭到破坏。
巨原纤本身具有较高的有序度,而巨原纤之间存在一定的无定形区,小分子的水分很容易进入这一区域,使原本结合力较弱的巨原纤间的作用力进一步减弱。
纤维产生原纤化通常需要符合两个条件:
首先是在一定的潮湿和/或有化学试剂存在的情况下(如印染、洗涤过程中),水分子或其他小分子进入纤维内部的无定形区域,宏观上可以观察到纤维的直径明显变粗。;
其次是外力的作用,如洗涤过程中的反复揉搓,最终使巨原纤被分离而跃出纤维表面,即所谓的“原纤化”。
原纤化对纤维的加工不利,也会造成服饰的不良外观,因此,必须通过适当的方法,对Lyocell纤维进行抗原纤化处理。
减少Lyocell纤维的原纤化有多种方法,在纤维制造过程中,纺丝温度、冷却吹风温度、凝固浴条件及拉伸比都会对原纤化产生一定的影响。但Lyocell纤维聚合度高取向和结晶度高的基本特征,仅改变纤维制造过程中的工艺条件还不足以完全解决原纤化的问题。
通过具有两个和两个以上官能团的化合物与葡萄糖环上的羟基的化学反应,使纤维素表面的巨原纤间用化学交联的方法连接起来,它能有效防止纤维的原纤化。N,N-二羟甲基二羟基乙基脲、低聚马来酸酐等都可以作为交联剂,通过与纤维素羟基的反应在纤维素分子间形成化学键而增加其抗原纤化的能力,交联剂与纤维素的化学反应如图2-14 和图2-15所示。

图2-14 N,N-二羟甲基二羟基乙基脲与纤维素纤维的反应

图2-15 低聚马来酸酐与纤维素的反应
低聚马来酸酐和柠檬酸作为混合交联剂处理Lyocell纤维,可以有效提高抗原纤化的能力。

纤维素在木质组织中的结构层次

不同植物来源纤维素含量


