Nature:豆油制强力胶,固化只需电吹风几分钟
道法自然,科学家可以源源不断地汲取灵感。这在粘合剂研发中体现的尤为明显。自从1980年代,生物学家Herbert J. Waite和Marvin L. Tanzer在贻贝足部的侧线中发现一种氨基酸 [1],并揭示了它与贻贝超强粘附能力的关系。此后的四十多年中,抗酸碱、耐腐蚀的多巴胺基粘合剂吸引了研究者们的浓厚兴趣,屡屡登上顶刊 [2-4]。我们也曾报道过Herbert J. Waite课题组2015年在Science 杂志上发表的潮湿环境下新型粘合剂的论文(点击阅读详细)[4],普渡大学Jonathan J. Wilker教授在同期杂志上发表了评述,高度评价了这一发现 [5]。

基于贻贝足蛋白粘附特性的水凝胶。图片来源:PNNL [6]
Jonathan Wilker教授课题组致力于研究海洋生物材料以及“道法自然”的新材料。近日,他们在Nature 杂志上发表论文,借鉴了经典的商业环氧树脂胶和海洋贻贝粘附机理,开发出一种可持续型强力粘合剂,组分全部来自生物质:环氧大豆油(豆油经过环氧化反应制得)、苹果酸(存在于苹果、葡萄、山楂等果实中)、丹宁酸(常见于树木、红葡萄酒和红茶中)。这种粘合剂几乎适用于任何基质表面,使用方便(家用电吹风5分钟即可固化),环境友好,廉价实用,粘附性能堪比当今市场上最强的经典环氧树脂粘合剂,易于大规模生产,具有良好的商业化前景。

Jonathan Wilker教授。图片来源:普渡大学 [7]
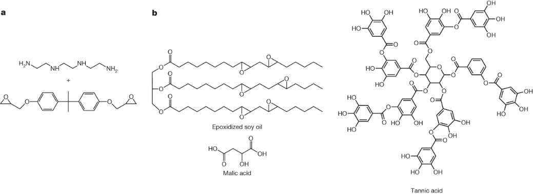
环氧树脂作为一种经典粘合剂,俗称“哥俩好”、“AB胶”,由环氧化合物与聚胺类化合物反应得到,其中后者作为固化剂,可以与环氧官能团发生亲核反应。这两种化合物都是石油化工产品,属于不可再生类产品。研究者借鉴了海洋贻贝的粘附机理,其中二羟基苯基(即邻苯二酚)基团有助于交联反应的发生,于是,他们猜想将三种组分:环氧化合物、亲核试剂和具有邻苯二酚结构的化合物混合,应该也具有良好的粘附性能。

环氧树脂粘合剂(“AB胶”)反应机理
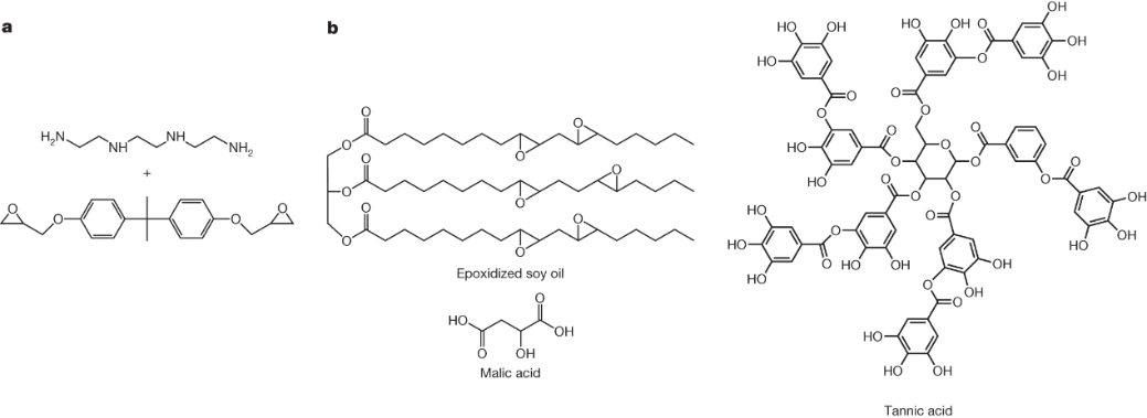
选择和努力同样重要。研究者随后在常见的天然化合物中进行挑选:环氧大豆油是目前使用最多的生物基增塑剂,可以作为第一组分;由于生物胺类和硫醇类成本较高,因此亲核试剂主要从酸和醇中选择,富马酸、苹果酸和琥珀酸都可以作为备选;丹宁酸、邻苯二酚、没食子酸也有望作为第三组分。
经过对比,富马酸、琥珀酸都出现了溶解性问题,含邻苯二酚和没食子酸的配方在反应停止后没有产生固体。只有当环氧大豆油、苹果酸和丹宁酸搭配时(以下简称“ABC胶”),具有良好的效果。随后,研究者确定了三组分简单混合的最佳比例为1:0.4:0.5(质量比),并且在70 °C下反应24小时可实现最强的粘附性能。

经典环氧树脂两组分以及“ABC胶”的三组分。图片来源:Nature
这种“ABC胶”适用于多种表面。研究者将其涂抹在喷砂钢材、抛光铝材、特氟龙、抛光钢材、喷砂铝材、PVC塑料以及木材表面(下图a→g),测试粘接强度,并与商业产品对比。“ABC胶”在这些表明上均表现出优异的粘附性能。令人惊讶的是,“ABC胶”对抛光铝材的粘接强度为13 ± 1 MPa,超越了所有对照商业粘合剂,包括Super Glue(9 ± 4 MPa)和环氧胶(7 ± 1 MPa),后者通常被认为是最强的结构粘合剂之一。

“ABC胶”及商业粘合剂性能对比。图片来源:Nature
为什么“ABC胶”具有这么强的粘附性能?通过核磁共振和红外光谱,研究者发现,固化后环氧基团消失,1H NMR中出现醇的信号,证明环氧官能团发生开环反应。13C NMR光谱发生小的位移,也支持了苹果酸和环氧大豆油的交联反应。差示扫描量热法也显示,三组分都参与到共价键的形成中,耦合在一起。

“ABC胶”固化表征。图片来源:Nature
“ABC胶”还具有良好的耐水性,在水下浸泡24小时后,仍然保持约75~100%的初始粘接强度。即使在水下浸泡1周后,仍保持约26~78%的性能。在人工海水中进行类似的实验,结果相似,表明胶水可以抵御盐类的腐蚀。此外,“ABC胶”成本并不高,用于制造经典环氧树脂的双酚A和胺类的成本约为每吨3880美元,而按照研究者描述的三组分比例,成本大约为每吨5150美元,具有商业推广潜力。

水中浸泡对“ABC胶”的影响。图片来源:Nature
“当下几乎所有的胶水都是石油衍生产品,不但有潜在毒性,而且废弃的产品需要几个世纪才能分解”,Jonathan Wilker教授说,“我们设计的新胶粘剂基于生物质,无毒,可持续,强度与当前商业产品一样甚至更高。下一步,我们需要继续降低成本,保证所有起始化合物都可以大规模获得”。
原文(扫描或长按二维码,识别后直达原文页面):

Sustainably sourced components to generate high-strength adhesives
Clayton R. Westerman, Bradley C. McGill & Jonathan J. Wilker
Nature, 2023, 621, 306-311. DOI: 10.1038/s41586-023-06335-7

