【每日新文】具有智能隔音功能的可定制声学超材料屏障
摘要
传统的超声材料屏障通常用于实现连续宽带宽的隔声。然而,在一些实际场景中,来自复杂噪声源(如齿轮箱和电机)的噪声信号通常是具有离散峰谷的复杂频谱,而不是完美的连续频谱。在这种情况下,宽带设计是不必要的,如果包含太多的频率分量,可能会增加超材料的厚度。我们只需要一个定制的频谱就可以在期望的离散频率下实现隔音,而在其他频率下,为了保持除噪声以外的有效信号,可能不需要绝缘。在这里,我们提出了一种可定制的具有智能和选择性隔音的声学超材料屏障(CAMB)。CAMB是由亥姆霍兹谐振器(HR)和微孔板(MPP)组成的复合结构,用于分别控制200 - 1000hz的低频和1000 - 3000hz的高频隔声。提出了一种可定制设计的逆过程。采用解析法和数值法分别获得了高功率电机和多功率电机的参数设计库。我们通过数值和实验验证了为实际复杂噪声源定制的CAMB实例。样品的厚度为48毫米,最低目标频率约为λ/11。提出的可定制概念可能为具有不同频率成分的复杂声源的隔音超材料铺平道路。

CAMB的概念。(a) CAMB的总体设计路线。(b) CAMB的原理图。箭头表示入射波、反射波和透射波。(c) CAMB的三维结构和有效电路模型,由MPP、后腔和HR组成。这里显示了一个HR的案例。(d) (c)中CAMB在t = 1mm, H = 65mm, d = 10mm, R = 48mm, d = 10mm,颈部= 35mm,颈部= 2mm, W = 28mm, dMPP = 1mm时的剖面图。在插图中,Re是有效半径。虚线框(红、蓝、绿)表示(c)、(d)中不同部件的工作频段。

设计单个HR库。(a) L的地表温度模拟(b) L之间的关系;谐振频率,fr;有效半径Re. L = rneck - d/2。其他参数如图1(d)所示。(c)不同体积参数下的地表温度模拟。He = R−d/2。(d)不同体积下的有效半径Re和共振频率fr。V表示HR的体积,由W和He计算得出。(e) Wneck的地表温度模拟。(f)颈的有效半径Re和共振频率fr。


低频调制中耦合HRs的设计。(a)由上式计算出的解析值与模拟值的差值。(b)不同FLFPs的Lst模拟。插图是具有两个HRs的基本单元的示意图。周向覆盖角θ为175◦。HR 1的几何参数与图1(d)相同,HR 2的W为11.3 mm。A, 292Hz,耦合;B, 480Hz,耦合;C, 1400 Hz,耦合;D, 300 Hz, FLFP1 = 300 Hz;E, 1400 Hz, FLFP1 = 300 Hz;F, 500 Hz, FLFP2 = 500 Hz;G, 1400 Hz, FLFP2 = 500 Hz。Le是MPP和HRs之间的开放区域的长度。(c)声压场分布对应于(b)中的点


MPP设计库及高频调制耦合复合结构设计。(a)不同MPP δ时FHFV的解析[由上式计算]和有限元结果。(b)不同δ时FHFV的LST模拟。(c)模拟声压场;A, FHFV1= 1040 Hz,δ = 6;B, 1400 Hz, δ = 6;C, FHFV2 = 1216 Hz, δ = 4;D, 1400 Hz, δ = 4。(D)轴面剖面图。颜色表示(b)中A-D模式对应的声压场分布。

(a)特定复杂噪声源的分析。谱图是用分辨率为1/3倍频程的声级计测量的。从谱图中读取FLFP和FHFV,如图所示。FLFP1 = 630 Hz, FLFP2 = 1000 Hz, FHFV = 1250 Hz。(b) 3D打印样品的照片。样品前(左)和后(右)视图和实验设置。(c) 200-1600 Hz范围内的模拟和实验LST。(d) CAMB隔声后的噪音谱。

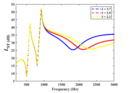
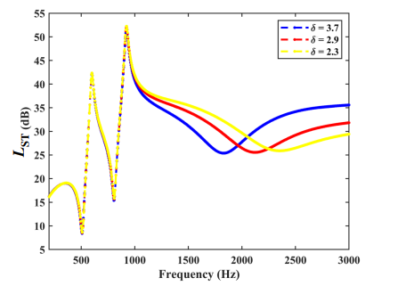
通过改变δ来模拟目标FHFV在1800 Hz(蓝线)、2100 Hz(红线)和2400 Hz(黄线)的模拟结果。
结论
文章中从概念上构思并设计了一个基于MPP和HR组成的复合结构的CAMB。该模型通过引入有效半径Re和修正因子ζ来适应。对于二元HRs,研究了提供离散绝缘点的不同部件之间的耦合效应。MPP为高频噪声的控制提供了更多的便利。仿真结果证明了FLFP和FHFV的可调性,附录A中的带宽研究表明,FHFV的操作可以提高到3000 Hz。值得一提的是,与以往的工作相比,CAMB的各种参数为优化器件性能和可调性提供了多个自由度。通过适当设计单元的几何形状,可以用适当的频率分量来控制声波。该样品的特征频率设计为630、1000和1250 Hz。仿真和实验结果表明,设计的结构厚度为48 mm (低测试目标频率约为λ/11),在200-1600 Hz范围内具有良好的选择性和隔声性。此外,通过采集特定噪声源并对比使用前后的效果,进一步证明了所设计的超材料的可控智能隔声性能。文章中提出的CAMB可能会对智能超材料领域产生启发,并在工业制造、汽车、建筑声学等不同场景中实现噪声控制应用。
