以下文章来源于生物基科研前瞻 ,作者生物基科研前瞻

作为世界三大通用材料之一,PVC广泛应用于医疗、建筑、食品包装材料、电线电缆等领域。纯的PVC由于分子的紧密排列具有较高的玻璃化转变温度。研究发现,增塑剂可以增加游离体积并与PVC链之间的极性基团结合,达到提高PVC与增塑剂相容性的目的,使PVC具有柔韧性。
近几十年来,邻苯二甲酸酯增塑剂因其价格低廉且与PVC相容性好而被广泛应用。然而,研究证明邻苯二甲酸酯增塑剂对人类具有潜在的生殖毒性,长期使用会对自然环境造成一定的破坏。因此,迫切需要制备生物基环保增塑剂。
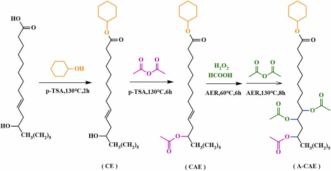
近日,江南大学蒋平平教授、张萍波副教授等人以蓖麻油酸为原料,经酯化、环氧化和乙酰化制备了乙酰化环己醇乙酰蓖麻酸酯(A-CAE)。通过FT-IR和1H NMR对其结构进行了验证,并对其塑化性能进行了测试。
随后,利用A-CAE制备PVC薄膜,并与商业增塑剂对苯二甲酸二辛酯(DOTP)和柠檬酸乙酰三丁酯(ATBC)进行了比较。拉伸试验表明,A-CAE-50的断裂伸长率比ATBC-50高40.4%,比DOTP-50高77.3%;光学性能表明,A-CAE-50的透过率可达90.5%,Tg为32.2℃,表明PVC基质与A-CAE具有良好的相容性;在迁移试验中,A-CAE也表现出较强的抗萃取能力。当A-CAE与DOTP共混塑PVC时,所有薄膜都表现出良好的透光性和力学性能。综上所述,A-CAE具有塑化PVC的优良性能。
相关工作以“Ricinoleic acid-based plasticizer with excellent optical properties for PVC polymers”为题发表在《Industrial Crops and Products》

/ 增塑剂的合成于表征 /
作者从蓖麻油酸(CA)出发,先后经酯化、乙酰化、环氧化等步骤合成了乙酰化环己醇乙酰蓖麻酸酯(A-CAE)(方案1)。随后使用FT-IR、1H NMR对其结构进行了表征(图1,2)。如图1所示,经多步反应,原料与几种中间体的特征吸收峰变化表明反应顺利进行。随后通过1H NMR对其结构进行了进一步的分析(图2)。最终证明其被成功合成。

方案 1.乙酰化环己醇乙酰蒿蓖麻油酸酯(A-CAE)的合成工艺及化学结构。

图 1.蓖麻油酸、中间产物以及增塑剂A-CAE的FT-IR光谱。

图 1.蓖麻油酸、中间产物以及增塑剂A-CAE的1H NMR谱。
/ 热稳定性 /
作者使用溶剂法制备了增塑剂含量不同的增塑PVC薄膜,用于性能表征,此外,选择了商业化增塑剂对苯二甲酸二辛酯(DOTP)和柠檬酸乙酰三丁酯(ATBC)进行对比,配方如表1所示。首先对其热稳定性进行了表征(图3),结果表明A-CAE-50失重10%时的温度为297.3℃,比ATBC-50(253.0℃)高44.3℃,比DOTP-50(282.6℃)高14.7℃,表明A-CAE具有更好的热稳定性。这归因于A-CAE比ATBC和DOTP具有更多的极性基团,这些基团能与PVC链段的极性部分形成更强的结合力,延缓增塑剂的分解和PVC骨架中氯化氢的脱除。此外,作者进一步的测试表明在安全要求高、成本有限的情况下,可将A-CAE与DOTP混合使用,提高PVC材料的整体性能。
表1.不同增塑剂的PVC组成。


图3. 不同PVC在(a)单一增塑剂和(b)多种增塑剂下的热重曲线。
/ 力学性能 /
PVC薄膜的力学性能可以在一定程度上反映增塑剂的塑化效率。单一增塑剂塑化PVC薄膜的拉伸应力应变如图4(a)所示,当增塑剂添加量为50 phr时,A-CAE-50(740.5%)的断裂伸长率高于DOTP-50(663.2%)与ATBC-50(700.1%),并且随着A-CAE含量的增加,A-CAE-60的断裂伸长率进一步增加,对PVC具有良好的塑化效果。由图4(b)可知,将A-CAE与DOTP混合,PVC薄膜的断裂伸长率高于DOTP-50和纯PVC(324.5%)。证明A-CAE与商用DOTP混合时具有优异的增塑剂性能,既可以作为主增塑剂,也可以作为辅助增塑剂。

图 4.不同PVC在(a)单一增塑剂和(b)多种增塑剂下的拉伸应力-应变曲线。
/ 浸出试验的挥发性和迁移损失 /
图5为增塑剂对PVC进行挥发性和迁移测试后的失重情况,可以看到在多种条件下A-CAE增塑的PVC的迁移率相比商业化增塑剂DOTP、 ATPC增塑的PVC低的多,归因于A-CAE中引入的极性基团和环状结构有效组织了其从PVC基体的迁移。通时在抗挥发性测试中,A-CAE增塑的PVA质量损失最低,说明其具有了较好的稳定性。

图5单一增塑剂对PVC挥发性和迁移性的失重试验。
/ 光学特性 /
如图6(a)所示,所有PVC薄膜对可键光的透光率均大于70%,A-CAE-50为90.5%;当A-CAE含量增加到60 phr时,PVC膜的透光率达到91.1%。这归因于A-CAE极性基团较多,自由体积较大,能更好地进入PVC材料的结晶区,导致A-CAE增塑的PVC膜具有较高的透光率。此外,将DOTP和A-CAE混合与PVC共混时,P-1的透光率优于DOTP-50(85.7%)。随着A-CAE含量的增加,PVC的透光率进一步提高到90.3% (P-3),表明A-CAE对提高PVC与增塑剂之间的透明度有很大的作用,A-CAE有望用于对透明度要求较高的包装材料。

图 6.(a)使用单一增塑剂和(b)多种增塑剂的不同 PVC 的紫外-可见光谱。
/ 动态热机械分析 /
图7显示了不同增塑剂增塑PVC的DMA曲线,所有曲线都只有一个峰,说明PVC与增塑剂的相容性较好。纯PVC的Tg为85.8℃,Tg越低,低温弹性越好。由图7可知,DOTP-50的Tg为32.1°C, ATBC-50为30.3°C, A-CAE-40为36.1°C。随着A-CAE的增加,A-CAE-50和A-CAE-60的Tg分别降至32.2°C和27.4°C,这表明这三种增塑剂均具有良好的塑化效率。此外,还证明A-CAE塑化PVC在低温下具有极好的弹性,这可能是由于A-CAE中引入了环状结构和更多的醚基团,增加了PVC基体的自由体积,从而改善了PVC与A-CAE的相容性。

图7.不同增塑剂塑化PVC的DMA曲线。
/ 增塑机理 /
A-CAE的潜在增塑机理如图8所示。首先,根据自由体积理论,纯PVC链排列紧密,难以自由移动,因此纯PVC材料一般坚硬脆,而加入A-CAE后,环己醇和三酯基结构的引入可以增加PVC链之间的自由体积,从而使PVC聚合物具有更大的柔韧性。此外,根据润滑理论,A-CAE的引入可以减少PVC与增塑剂之间的摩擦,防止PVC膜变形时的断裂,从而达到增塑效果。凝胶理论认为,增塑剂的极性部分会通过范德华力等分子间作用力与聚合物的极性部分结合,从而破坏聚合物分子间的结合力,使PVC分子链自由移动,使聚合物变得柔软。本文引入三个极性酯基,通过增加增塑剂与PVC之间的结合力来达到增塑剂的效果。因此,所有含A-CAE的PVC样品均表现出良好的相容性和优异的柔韧性。

图8. A-CAE塑化PVC机理。
/ 总结 /
在本文中,作者以蓖麻油酸为原料,经酯化、环氧化和乙酰化制备了乙酰化环己醇乙酰蓖麻酸酯(A-CAE)。通过FT-IR和1H NMR对A-CAE结构进行了验证。随后,为了探究A-CAE的塑化性能,采用A-CAE制备PVC薄膜,并与商用DOTP和ATBC进行了对比。结果表明,A-CAE作为一种生物基增塑,不仅可以作为一次增塑剂,使PVC材料具有良好的相容性,而且可以作为共混增塑剂,提高材料在某些环境下的安全性。总的来说,与ATBC和DOTP相比,A-CAE具有更好的综合性能,这为生物基环保型增塑剂的选择提供了更多的可能性。
原文链接:
https://doi.org/10.1016/j.indcrop.2023.116699

