
水是地球上最重要的物质之一。它以固体、液体和蒸汽状态下无处不在,整个生物系统都依赖于它独特的化学和物理特性。许多材料以水合物的形式存在,其中最主要的是晶体水合物,它们通常在低于环境温度下无限期地保留水分。然而,如何建立管理水合和脱水的条件是材料科学的一个关键方面。大气中无处不在的水分使得在低于环境温度下处理样品时难以控制水合程度。
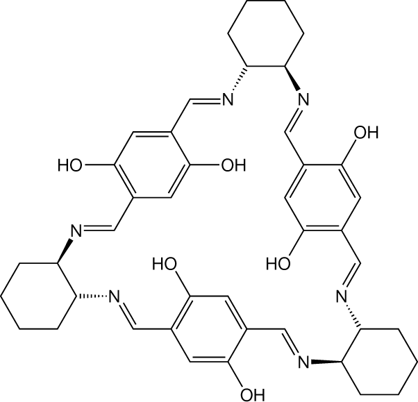
基于此,斯泰伦博斯大学的Leonard J. Barbour教授、Catharine Esterhuysen教授联合波兹南密茨凯维奇大学Agnieszka M. Janiak教授共同描述了一种多孔有机晶体,它在相对湿度超过55%的情况下很容易和可逆地将水吸附到1纳米宽的通道中。脱水温度远低于0℃,实现了-70℃脱水,并且伴随颜色变化。作者确定了在广泛的温度范围内的脱水动力学。这一发现为设计能在远低于散装水冰点的温度范围内捕获/释放水的材料提供了机会。相关成果以“Dehydration of a crystal hydrate at subglacial temperatures”为题发表在最新一期《Nature》上。作者研究了几种三酰亚胺,一类希夫碱大环,它们的堆积效率很低,形成了离散的空腔或通道。水杨酸亚胺基团被纳入T1(图1),以施加结构刚性。在本文中,作者将三棱柱分子称为T1,其黄色的无水形式称为T1-Y(即包括水在内小于1wt%),红色的有水形式称为T1-R(大于7wt%的水)。黄色的三棱柱状晶体T1-Y(图2a)是从T1的乙醇溶液中生长出来的。单晶X射线衍射(SCXRD)分析表明,T1-Y在三叉空间群R3中结晶。不对称单元包括两个通过C-H-π接触相互关联的主分子。这些分子打包形成10埃米宽的外在一维通道,约占晶体体积的14%,沿着[001]传播(图2b)。12个与对称性无关的羟基中只有3个暴露在通道的内部,在那里它们作为可能的宿主-客体相互作用的亲水部位。随着相对湿度的增加,晶体迅速和可逆地从黄色变为红色,过渡发生在相对湿度为53%和58%之间(图2a,c,)。动态蒸汽吸附(DVS)测量表明,T1-Y在3-55% RH范围内逐渐吸附多达0.6 wt%的水(图2d)。在55-58%RH的范围内(图2e),吸水率迅速增加到7.3wt%,之后(图2f)在98%RH时水化率逐渐达到8.9wt%。这些百分比分别对应于每个宿主不对称单元中0.5、5.9和7.3个H2O分子的非对称性包含。吸附和解吸曲线之间几乎没有滞后现象,这意味着吸水的机制可能与释放的机制相反。颜色从黄色到红色的变化是由于烯醇亚胺到酮胺同构体平衡的部分转移,因为水分子进入通道并与宿主暴露的酚羟基形成氢键(图2g,h)作者从弥漫电子密度图中推断出,水经历了大量的动态无序,但有利于与暴露的羟基相互作用(图3a)。T1-R的SCXRD分析在-173℃下重复进行,差异电子密度图表明,水分子分散在整个通道中,最高浓度的电子仍然位于通道壁上(图3b),并在暴露的主羟基的氢键距离内。接着,进行了低温变温SCXRD(VT-SCXRD)研究,在1bar下使用干燥N2气体的低温恒温器中,水合物晶体仍然从红色转变为黄色。可变温度光学显微镜(图3c)显示,晶体在低于-70℃的温度下保持红色超过5天,而在高于此温度时明显变为黄色表示失水。在-25 °C到-50 °C的范围内,水合物晶体最密集的电子云聚集在宿主羟基附近,但从它们的扩散分布(图3a)推断,水分子仍然是高度流动的。进一步的冷却将电子云锁定在靠近羟基的位置,同时也导致整个通道的电子密度逐渐局部化(图3b)。对比结晶轴随温度变化的情况(图3d)以及水合物和无水合物晶体结构中三个独特的暴露的羟基的位移(图3e),可以从分子层面了解水在通道中的行为。在有水的情况下,宿主分子的枢轴使两个羟基(O9A和O9D)在冷却时逐渐向外迁移,在-60 °C时开始出现突变。在低于-70 °C时,逐渐向外漂移重新开始。剩下的羟基(O9B)在整个温度范围内逐渐向内迁移。发生在-60 °C和-70 °C之间的结构支撑效应可能是由T1-R中的水在冷却时的非晶格排序带来的,这也抑制了水向周围的转移。作者的结构研究表明,在低于-70℃的温度下,脱水的停止可能与所含水的短程有序化有关,类似于冻结或玻璃转变。通道排空的速度遵循阿伦纽斯温度依赖性(图4)。值得注意的是,已知脱水的活化能随着颗粒大小分布的减少而减少;由于作者的研究必然涉及一个相对较大的单晶,T1脱水的活化能可能比测量值41 kJ mol-1略低。对图4中的数据进行推断表明,在-70 °C时,这将需要大约五天的时间来使所选晶体完全脱水。然而,即使在-70 °C的五天后,晶体的一些区域仍然是红色的,这意味着由于水的玻璃化而导致流动动力学的变化。作者已经直观地确定,Ton用于T1的脱水是接近-70℃。在这个温度下,包括的水经历了一个可逆的结构化事件。在Ton以上,水似乎在通道中经历了类似液体的流动性,但冷却到Ton以下时,水分子突然集中在通道中的羟基结合点。这可能涉及到局部排序,并伴随着明显的支撑效应,这表现在包括的水对通道施加的净外力。低于Ton的水分子缺乏长程秩序,这表明宿主通道的羟基结合点的位置并不理想,无法支持水团和/或水链的明确排列,宿主和客体之间的这种结构不匹配可能指出了调整低Ton值的基本设计要求。