
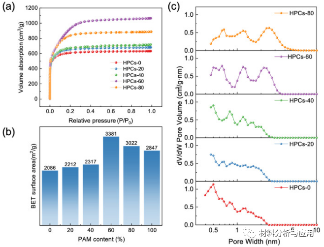
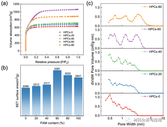
比表面积(SSA)和孔隙结构是决定碳基超级电容器储能性能的两个关键因素。然而,对于生物基碳电极来说,很难同时控制孔隙结构和实现高SSA。本文,哈尔滨工业大学张幸红教授团队在《Carbon》期刊发表名为“Nature-inspired self-activation method for the controllable synthesis of highly porous carbons for high-performance supercapacitor”的论文,研究通过水凝胶控制的碳化和葡萄糖的活化过程,产生了具有超高SSA和可控孔隙结构的高孔碳(HPCs)。聚丙烯酰胺(PAM)被用作孔隙形成剂,孔隙结构可以通过控制PAM的含量来调节。在PAM含量为60%时,HPCs的最高SSA达到3381m2g-1。此外,由HPCs-60组装的KOH/PVA对称超级电容器不仅表现出优异的能量密度(在125W kg-1的功率密度下为10.9 Wh kg-1),而且还具有高循环稳定性(在20000次循环中损失约10%)和良好的灵活性。所制备的超级电容器可以为多种电子设备提供稳定的电源,表明HPCs在高性能电化学储能装置中具有巨大的应用潜力。

图1。HPCs的制备和形态。

图2.HPC的孔结构

图3.高性能计算的结构特征。

图4.通过三电极系统在6M KOH 电解质中测试的不同HPC样品的电化学性能。

图5.HPCs-60电极的充放电动力学。

图6.HPCs-60准固态对称超级电容器的电化学性能,通过KOH / PVA电解质中的双电极系统进行测试。

图7.将超级电容器组装成电源设备
综上所述,使用创新的水凝胶控制的葡萄糖碳化,开发了一种可扩展的方法,以生产具有超高SSA和可控孔结构的HPC。可以串联集成超级电容器,以满足各种潜在应用的能源和电力需求。结果表明,HPCs是高性能超级电容器的有前途的电极材料。文献:
https://doi.org/10.1016/j.carbon.2023.01.013
