产物浓度不够高?这篇酮肟制备Science或许是个启发
本文来自微信公众号:X-MOLNews
1943年,德国科学家P. Schlack用己内酰胺合成了尼龙-6,从此开创了尼龙产业工业化发展的征程,预计到2024年尼龙-6的全球产量将达到890万吨/年。己内酰胺是生产尼龙-6的重要原料,而环己酮肟是生产己内酰胺的重要前体。工业上,通常利用环己酮与硫酸羟胺来制备环己酮肟,但是该方法会存在转化率低、能耗高、环境污染严重等问题。上世纪80年代,科学家以硅酸钛(TS-1)为催化剂、过氧化氢(H2O2)为氧化剂,成功地开发了环己酮氨肟化制备环己酮肟的新工艺,克服了环己酮-羟胺工艺的缺点,提高了己内酰胺的生产效率。尽管基于H2O2/TS-1的工业氨肟化工艺具有优异的催化选择性,但由于H2O2在反应条件(高温和高pH值)下稳定性低,往往需要过量,导致工艺成本高。此外,H2O2作为反应原料需要先行制备,并涉及运输和储存过程;先行制备的H2O2浓度远远超过反应所需的浓度,必要的稀释会造成能量和成本的浪费;H2O2的不稳定性又需要添加酸和卤化物稳定剂以防止其在运输和储存过程中降解,这反过来会限制催化剂的稳定性,同时还会腐蚀反应器并需要额外的去除步骤。
近年来,英国卡迪夫大学的Graham J. Hutchings教授(点击查看介绍)课题组开发了直接合成H2O2的催化剂,并具有高合成速率和>99% H2利用率(Science, 2009,323, 1037-1041; Science, 2016, 351, 965-968,点击阅读详细)。然而,这种方法却无法与目前生产H2O2的工业路线相媲美,这主要是因为要避免潜在爆炸风险,就需要稀释的H2和O2流,因此限制了H2O2的产品浓度。如果不能直接用于H2O2的工业生产,这种原位生成的较低浓度H2O2还能开发出什么应用呢?
近日,Graham J. Hutchings教授与卡迪夫大学同事Richard J. Lewis博士以及上海交通大学的刘晰研究员等人合作,将负载型金钯(AuPd)合金纳米粒子与硅酸钛(TS-1)催化剂相结合,按需原位生产H2O2,以>95%选择性通过环己酮氨肟化生产环己酮肟(图1)。与目前的工业化路线相比,该方法无需运输和储存高浓度H2O2,极大地节约了成本并且整个过程更加安全、经济、环保。此外,该方法还能实现其它几种简单酮的氨肟化反应并具有高选择性。相关成果发表在Science 上。

图1. 原位H2O2合成在环己酮氨肟化中的关键反应途径。图片来源:Science
首先,作者通过湿法浸渍、煅烧制备了一系列AuPd合金纳米颗粒催化剂,并将不同总金属负载量(重量百分比)的催化剂负载在TiO2上,接着对其进行氧化热处理(表示为AuPd/TiO2(Chloride-O)),发现总金属负载量与直接合成H2O2的催化性能之间存在相关性。随后,作者使用具有不同总金属负载量的AuPd/TiO2(Chloride-O)催化剂与商业TS-1的混合物,确定了环己酮氨肟化原位方法的高效性。当使用最佳催化剂0.33%Au-0.33%Pd/TiO2(Chloride-O)时,观察到基于H2的肟产率和选择性分别为77%和71%,同时没有观察到硝基环己烷或环己烯基环己酮等副产物的形成。此外,当使用H2和O2组成的气态反应物与N2稀释剂时,环己酮肟的产率显著提高。事实上,与使用先行制备H2O2的传统方法产率相比(41%),原位方法的环己酮肟产率更高(77%),并且H2O2的浓度与原位反应中所有H2都转化为H2O2的浓度相当。进一步的研究表明,无论使用哪种载体来固定AuPd纳米颗粒(如TiO2、SiO2、CeO2、Al2O3、Nb2O5或ZrO2),都可以实现高催化性能(环己酮肟的选择性>95%)。

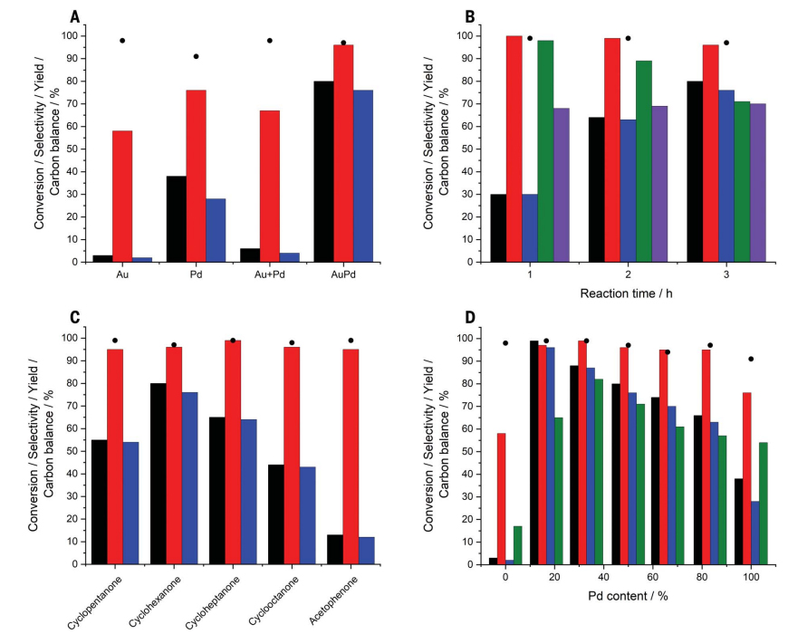
图2. 负载型0.66%AuPd/TiO2(Chloride-O)催化剂与TS-1结合使用,通过原位生产 H2O2对环己酮氨肟化的催化活性。图片来源:Science
如图2A所示,当Au和Pd都固定在同一载体上时,观察到环己酮肟的产量增加,并且0.33%Au-0.33%Pd/TiO2(Chloride-O)和TS-1体系的催化活性(肟产率:77%)明显优于由单金属催化剂或其混合物组成的类似物。事实上,Au-Pd合金是实现高催化活性的关键,它不仅可以抑制O-O键解离(抑制H2O产生),而且还能促进H2O2从催化剂表面上释放。因此,作者认为Au的作用是促进H2O2(或过氧化物)从贵金属表面解离,随后扩散到TS-1框架内的TiIV位点上;而TS-1反过来会催化羟胺中间体的形成。若没有钛硅酸盐或AuPd负载的催化剂时,氨肟化活性显著降低(肟选择性≤15%)。对0.33%Au-0.33%Pd/TiO2(Chloride-O)和TS-1双催化剂体系的进一步分析表明,当反应不受环己酮可用性限制时,可以实现高H2选择性,反应1 h后观察到H2选择性为98%、环己酮转化率为30%(图2B)。此外,作者还考察了其它酮(如环戊酮、环庚酮、环辛酮和苯乙酮)的氨肟化反应效果,结果显示当使用0.33%Au-0.33%Pd/TiO2(Chloride-O)和TS-1催化剂时,所有底物的肟选择性>95%(图2C)。最后,作者对Au:Pd比例进行了优化,发现0.55%Au-0.11%Pd/TiO2(Chloride-O)和TS-1催化剂的物理混合物效果最好(图2D),此时环己酮肟的产率高达96%,并且催化转化频率(TOF)远远大于0.33%Au-0.33%Pd/TiO2(Chloride-O)和TS-1催化剂。
为了实现环己酮肟的工业化规模合成,作者将AuPd纳米颗粒负载在TS-1上(表示为0.33%Au-0.33%Pd/TS-1(Chloride-O))并研究其催化活性,结果显示该催化剂对环己酮肟的选择性>95%,但环己酮的转化率却较低(44%)。为此,作者选择不同的前体进行湿法浸渍并煅烧来制备相应的钛硅酸盐负载的催化剂,结果显示0.33%Au-0.33%Pd/TS-1(Acetate-O+R)催化剂的效果最好(图3A)。事实上,使用原位合成H2O2的最佳结果可与文献中报道的一系列常用氧化剂(包括先行制备的H2O2)相媲美,这表明该方法有望取代目前生产环己酮肟的工业路线。另外,作者还对0.33%Au-0.33%Pd/TS-1(Acetate-O+R)催化剂进行了表征(图3B),STEM分析显示TiO2少数相和TS-1多数相上均存在显著的金属修饰。HAADF-STEM成像和相应的XEDS元素映射显示TiO2少数相上的金属纳米颗粒主要由较大的AuPd合金(5-20 nm)组成,同时还有一些较小的Pd颗粒(1-3 nm);而TS-1多数相上则仅存在Pd颗粒。值得一提的是,0.33%Au-0.33%Pd/TS-1(Acetate-O+R)催化剂在连续使用三次后催化效果仍保持不变(肟产率≥80%,图 3C)。最后,作者对三次氨肟化反应后的0.33%Au-0.33%Pd/TS-1(Acetate-O+R)催化剂进行了STEM-HAADF分析(图3D),观察到Pd浸出源于较小的非合金Pd纳米颗粒,并且浸出物种对环己酮肟的形成没有贡献。

图3. TS-1负载的复合AuPd催化剂通过原位生产H2O2对环己酮氨肟化的性能和稳定性。图片来源:Science
接下来,作者评估了0.33%Au-0.33%Pd/TS-1(Acetate-O+R)催化剂在工业化条件下的稳定性,连续流动研究表明在分批次条件下观察到的高催化稳定性(图3C)也适用于流动系统(图4),其中液体(环己酮和氨)和气体(H2和O2)试剂被连续引入反应器。事实上,使用这种连续流动反应器运行数小时后,环己酮肟产率、H2选择性和氨选择性分别稳定在48%、70%和96%,并且反应40 h或248 h后催化活性也没有明显损失,凸显出该催化剂在工业条件下的长期稳定性。

图4. 0.33%Au-0.33%Pd/TS-1(Acetate-O+R)催化剂在连续反应中的参数优化。图片来源:Science
最后,作者比较了原位方法和当前使用先行制备 H2O2的工业化工艺,并进行了详细的技术经济评估。假设0.33%Au-0.33%Pd/TS-1(Acetate-O+R)催化剂的寿命与目前工业化工艺中报道的TS-1催化剂的寿命相当(为2.3年)并且TS-1组分的活性相当,评估结果显示仅基于原料成本就可以节省13%,证明了原位方法的经济可行性。事实上,即使假设催化剂寿命短得多(0.75年),该经济评估也表明原位方法的催化剂原料成本与当前工艺相当。此外,该评估还未考虑到与原位H2O2生产相关的大量成本节省(如H2O2运输、储存和延长反应器寿命等),这意味着原位合成路线朝着更可持续的选择性化学转化迈出了积极一步,并有可能取代目前生产环己酮肟的工业路线。
总结
作者通过将负载型金钯合金纳米颗粒与硅酸钛(TS-1)催化剂相结合,根据需要原位生成H2O2,进而以高选择性生产环己酮肟。与目前的工业路线相比,该方法无需运输和储存高浓度H2O2,绿色环保且节约成本。可以预见,这种方法可能会在目前依赖于使用TS-1和先行制备H2O2的其它工业氧化反应中得到更广泛的应用。
Highly efficient catalytic production of oximes from ketones using in situ-generated H2O2
Richard J. Lewis*, Kenji Ueura, Xi Liu*, Yukimasa Fukuta, Thomas E. Davies, David J. Morgan, Liwei Chen, Jizhen Qi, James Singleton, Jennifer. K. Edwards, Simon J. Freakley, Christopher J. Kiely, Yasushi Yamamoto, Graham J. Hutchings*
Science, 2022, 376, 615-620, DOI: 10.1126/science.abl4822
导师介绍
Graham J. Hutchings
https://www.x-mol.com/university/faculty/41584
