5G高频高速电子基板关键技术
Key technologies for 5G high-frequency & speed electronic substrates
高频覆铜板技术要求高且行业门槛高,目前的市场和核心技术仍受限。随着通信行业从低频向高频及5G电子迅猛发展,预计2018-2025年宏基站、车载毫米波雷达、5G硬件设备等对高频高速覆铜板需求规模将超过1000亿元。
High-frequency laminate technology requirements and high industry threshold, the current market and core technology is still monopolized by the United States and Japan manufacturers. With the communication industry from low-frequency to high-frequency and 5G electronic rapid development, is expected to 2018-2025 macro base stations, car millimeter wave radar, 5G hardware equipment, such as high-frequency high-speed copper laminate demand for the cumulative scale will exceed 100 billion yuan.

图1 全球5G电子重大需求
高频高速顾名思义是指频率相对较高,一般指频率大于300MHz(即波长小于1m)的频带,或指通常的无线电频率带。而频率大于1GHz的电磁波称作微波。
High frequency high speed is, as the name suggests, a relatively high frequency, generally referred to as a band of frequencies greater than 300MHz (i.e. wavelengths less than 1m), or the usual radio frequency band. And electromagnetic waves with frequencies greater than 1GHz are called microwaves.

图2 工作频率与对应关键应用领域
电子产品与设备渐往轻量薄型化和小型化演变,而承载讯号传递的网路基础设备的讯号传送正朝高速化、大容量与完整性方向迈进。材料的介质常数Dk与介电损失Df是影响传输速度与讯号品质的重要指标。为了达到低传输损失的目的,基板材料需具备低介质常数与低介电损失的优点。
Electronic products and devices are becoming lighter, thinner and smaller, while the transmission of signals in network infrastructures, which carry signals, is moving towards high speed, high capacity and integrity. The dielectric constant Dk and dielectric loss Df of materials are important indicators of transmission speed and signal quality. In order to achieve low transmission losses, substrate materials need to have low dielectric constants and low dielectric losses.

图3 基板损耗正切与应用等级
Df对信号完整性传输影响很大,目前客户对Df尤为重视。工业生产希望Df越小越好,但难度极高。不仅对Df要求高,且对Dk仍一样受到高度重视。
Df has a significant impact on signal integrity transmission and is currently of particular importance to customers. Industrial production wants the Df to be as small as possible, but it is extremely difficult. Not only are the requirements for Df high, but Dk is still just as highly valued.

图4 基板损耗正切对电子信号传输质量的影响
具备低介电常数(Dk)和介质损耗(Df)的高频高速基材处于覆铜板价值金字塔顶端,单价和盈利能力远高于普通覆铜板,应用场景正从原有的特殊应用领域逐步延伸至民用通信和汽车等领域,尤其是5G时代更是面临爆发性增长机会,对高频高速基材産生数倍需求,市场规模望超百亿。另一方面,高频高速基材具有高进入壁垒,对专利配方、制造工艺、终端厂商认证和上游供应链管理能力均提出更高要求。
With low dielectric constant (Dk) and dielectric loss (Df) of high-frequency high-speed substrates in the value of the top of the pyramid of copper clad board, unit price and profitability is much higher than ordinary copper clad board, application scenarios are gradually extended from the original defense industry to civilian communications and automotive and other fields, especially in the 5G era is facing explosive growth opportunities for high-frequency high-speed substrates produce several times the demand, the market size is expected to exceed 10 billion. On the other hand, high-frequency and high-speed substrates have high barriers to entry, with higher requirements for patented formulations, manufacturing processes, end-user certification and upstream supply chain management capabilities.

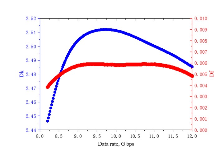
图5 本项纳米纸电子基板Dk、Df与电子传输速度之间关系

图6 本项纳米纸电子基板在国内外同类产品中的技术水平
纳米纸基高频高速基板新技术于2017年12月通过中国电子材料行业协会覆铜板材料分会、中国电子电路行业协会基材分会联合组织的成果鉴定,在应用频率10GHz条件打破了国外发达国家企业如Arlon、Nelco、Rogers等多年以来的技术垄断,实现可国産化目标的高频高速基板新料,填补国内空白,被政府各级广播电视台、新浪、腾讯、搜狐网、行业头条报道,可在蓝牙系统、人工智能、微波宽带、无人驾驶等未来前沿工业领域具有重大应用前景。本课题组前期研究工作打破了国内外传统以聚四氟乙烯、环氧树脂和玻璃布制造的基板难以满足以GHz为单位的电子信号高频高速传输的需求,具有在材料的构成、设计及基板制造方面具有显著的独特性和新颖性,颠覆传统高频高速基板制造技术。
Nano paper-based high-frequency high-speed substrate new technology in December 2017 through the China Electronic Materials Industry Association copper-clad materials branch, China Electronic Circuit Industry Association substrate branch jointly organized the results of identification, in the application frequency of 10GHz conditions to break the developed foreign enterprises such as Arlon, Nelco, Rogers and other developed countries over the years of technological monopoly, to achieve national production target of high-frequency High-speed substrate new material, fill the domestic blank, by the government at all levels of radio and television, Sina, Tencent, Sohu.com, industry headlines reported, can be in the Bluetooth system, artificial intelligence, microwave broadband, unmanned driving and other future frontier technology fields have significant application prospects.

图7 行业重视与产业技术



Please visit:
https://mp.weixin.qq.com/s/kCWbOl-ir33bVxzM9WwYeg
https://www.asianmetal.cn/news/data/2146079/1
http://hy.stock.cnfol.com/bankuaijujiao/20180821/26784617.shtml
https://baijiahao.baidu.com/s?id=1669727602496370658&wfr=spider&for=pc
http://www.pcbinfo.net/va/1501_3a93e56a.html
https://www.sohu.com/a/366757543_100023965
https://baijiahao.baidu.com/s?id=1583972422551266731&wfr=spider&for=pc
https://finance.sina.cn/2019-04-09/detail-ihvhiewr4214666.d.html
https://finance.ifeng.com/c/7tDxaZrvmrM
