Origin绘图:误差的基本表达(二)
科研中,不可避免会遇到各种误差,如拟合公式、理论公式、数据挖掘等等。误差的表达方式有很多,小编准备利用数篇文章来演示误差的各种表达方式,供读者选择。
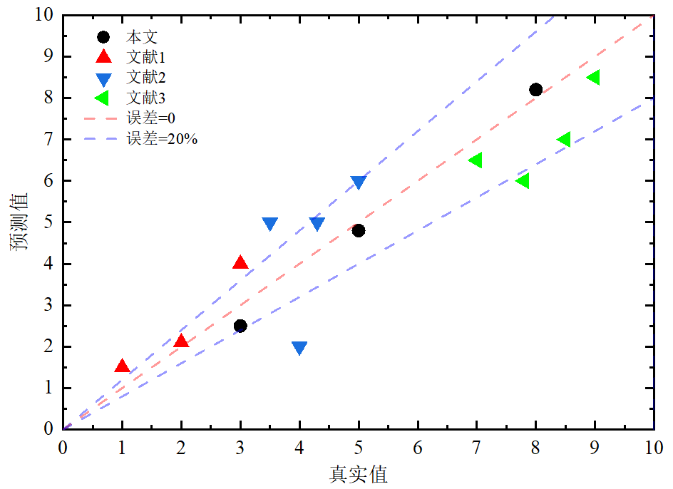
今天主要讨论第二种表达方式---对角式(这些误差名字都是小编取的,可能不太准确),对角式说白了就是真实值为横轴,预测值为纵轴,那么直线y=x其实就是0误差线;某一百分比误差/残差也是直线,残差线与y=x平行,即y=x+b,其中b为残差;百分比误差线为y=(1±c)x,c为百分比误差,如10%,很明显为两条过原点的直线。用origin绘制非常简单,步骤如下:
第一步:导入数据。将每个样本的真实值和预测值数据导入origin中。很多时候我们没有精力和条件做大量试验来验证自己的模型/公式/算法,我们可以利用前人试验结果来验证自己的模型,本文数据仅为演示。


第二步:绘制散点图。这里散点图绘制与之前讲过的一致,初次生成如下,基本调整可以参考前期发布的散点图绘制(科研绘图:origin绘制散点图)。


第三步:插入误差线。点击上方插入函数图,分别插入y=1.2*x、y=0.8*x、y=x(即0误差线和20%误差线)。线条可以用划线,适当设置些透明度。



第四步:更改图例。把图例更改一下,对角误差图就完成了。

