Nature Sustainability:COF膜–超快海水淡化
一、导读
日益严重的水资源短缺和水资源污染问题是全球面临的挑战,大力发展海水淡化和水处理技术是缓解该问题的有效途径。到目前为止,已开发的海水淡化技术主要有两大类:以多效蒸馏和多级闪蒸为代表的热基技术和以反渗透为代表的膜技术。利用相变进行分离的热基技术具有良好的抗盐性和低盐度敏感性,但能耗大。相比之下,膜技术由于其在温和条件下良好的筛分能力而实现低能耗。大多数用于渗透蒸发的膜材料是亲水聚合物,这可以避免不必要的通道湿润。然而,现有的渗透汽化膜由于孔隙率低、孔道曲折、孔道大小不可控,往往表现为渗透通量低、筛分能力中等、抗污染能力不足。鉴于具有特定官能团的长程有序通道有助于高渗透通量和截除率的共识,共价有机框架(Covalent organic framework,COF)膜因其具有大小可控、化学性质可调的孔道,成为潜在的高性能膜分离材料。
二、成果掠影
天津大学姜忠义、潘福生与南开大学张振杰等人报道了一种COF膜实现了超快速脱盐能力的膜,实现高的水通量,具有突出的排斥和污垢阻力。利用TpPa-SO3H纳米片和TpTTPA纳米带的粘附工程制备了COF膜。TpPa-SO3H纳米片作为膜的主体,具有长程有序通道和高亲水性,而TpTTPA纳米带被设计为“胶带”,通过静电和π-π相互作用连接TpPa-SO3H纳米片,有效消除膜缺陷,形成膜内互锁的坚固结构。通过调整TpPa-SO3H纳米片与TpTTPA纳米带的比例,最佳的COF膜对3.5 wt% NaCl水溶液的截除率为99.91%。值得注意的是,在50°C时,可达到267 kg m-2 h-1的高渗透通量,这超过了报道中最先进的膜材料,是广泛使用的网络聚合物膜的4-10倍。另外,通过0.1 wt% 到7.5 wt% NaCl的溶液模拟海水,考察了TpPa-SO3H@TpTTPA膜的脱盐性能,此外,优异的抗结垢和抗有机污染性能赋予了COF膜优越的长期稳定性,具有很好的应用前景。相关研究以“Ultrafast seawater desalination with covalent organic framework membranes ”为题目,发表在Nat. Sustain.上。
三、核心创新点
1、COF膜粘接工程策略的通用性
将小尺寸的COF纳米片聚在一起,在水分散体中形成超大片状的COFs。这些超大片状的COFs可以避免COF纳米片的损失,消除COF膜中的膜缺陷。
弱化COF纳米片之间的静电斥力,使纳米片的有序堆叠和膜的牢固的互锁结构成为可能。
2、COF膜的脱盐性能及抗污性
考察TpPa-SO3H@TpTTPA膜的脱盐性能,TpPa-SO3H@TpTTPA(20)具有最好的成膜效果。
对不同的盐溶液进行了脱盐试验,该膜在所有盐度条件下都表现出99.7%的排斥反应,对盐度的依赖性较弱,但具有很高的通用性。
长时间性能测试结果显示,在连续的108 h脱盐处理过程中性能保持稳定。
四、数据概览
图1 片状COF膜的构建 © 2022 Springer Nature

a,b, TpPa-SO3H纳米片的TEM图像
c,粘附工程的超大片状COFs示意图
d-f,TpPa-SO3H@TpTTPA(10)AFM图片及高度剖面图
图2 COF膜的制备及结构 © 2022 Springer Nature

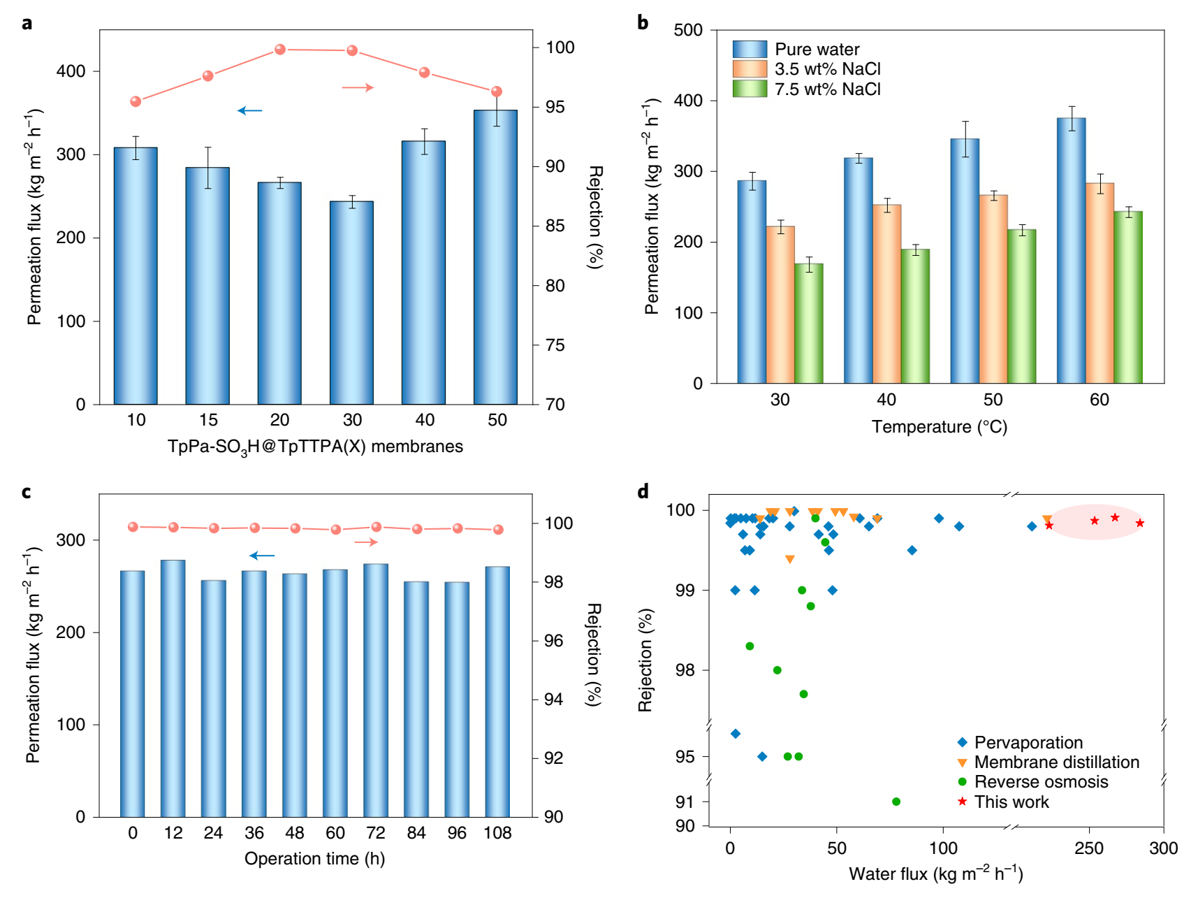
图3 COF膜的脱盐性能 © 2022 Springer Nature

a, TpPa-SO3H@TpTTPA(X)膜的脱盐性能
b, TpPa-SO3H@TpTTPA(20)膜在不同盐度下的温度依赖性渗透通量
c, TpPa-SO3H@TpTTPA(20)膜长期运行
d,比较TpPa-SO3H@TpTTPA(20)膜与报道膜的脱盐性能比较。
图4 COF膜的超快脱盐机理 © 2022 Springer Nature

a, TpPa-SO3H@TpTTPA(20)膜在纯水、3.5 wt% NaCl和7.5 wt% NaCl中的固有渗透性
b, TpPa、TpPa-SO3H的QCM
c, TpPa和TpPa-SO3H的化学结构
d,水分子通过TpPa-SO3H通道传输的模拟快照
五、成果启示
本文研究探索了利用COF膜进行海水淡化,获得了较高的水通量。以TpPa-SO3H纳米片和TpTTPA纳米带为原料,采用黏附工程超大片状COFs制备COF膜。在渗透蒸发脱盐中,优化的COF膜表现出超高的渗透通量和优越的截流性能,远远超过了传统网络聚合物膜的性能。COF膜的性能得益于其坚固的框架,具有均匀互连的结构,具有一致垂直方向的长距离有序通道,以及丰富的亲水性基团,便于运输能力。COF材料的可控制备和可调结构为开发具有超高通量的海水淡化膜提供了独特的机会。
