电化学反应机理研究方法——原位电化学质谱(DEMS)与 原位电化学红外光谱
上海零露仪器设备有限公司是专业提供原位电化学红外附件和原位电化学质谱仪的供应商
设备采购或测试服务欢迎咨询
手机/微信:13651655649
座 机:021-50670008
原位电化学质谱仪(DEMS)是一种将电化学反应池与质谱仪联用,在电位动态扫描过程中,能在毫秒时间内对电化学反应气态或挥发性中间产物和最终产物进行性或定量分析的仪器,可应用于电催化和电池原位测试,是研究电化学反应机理、快速筛选、评价电化学反应材料和催化剂的重要工具。
原位电化学红外技术是将电化学反应池接入红外光谱仪样品仓中,在进行电化学反应的同时,实时采集反应过程中的红外光谱信号,实现原位检测固体电极上的吸附态物种,从而实现:
1. 原位电化学质谱DEMS(电池、电催化)
1.1电池DEMS应用概况
能够原位分析锂离子电池、钠离子电池、金属空气电池等储能器件在运行过程中产生或消耗的微量气体,可以实时分析检测电池运行的不同阶段的气体消耗或生成情况,从而获得电化学反应中气体参与或气体释放的定性定量信息。

应用领域:
应用案例如下:
1. 富锂正极材料首次充电O2析出定量检测

Operando DEMS results for (a) PL and (b) LF-10 electrodes. The black solid lines and brown dots correspond to the voltage profile and O2 evolution, respectively
Angew.Chem.2020,132,23261-23266
2. 高压钴酸锂首次充电O2析出定量检测

DEMS profiles during the first charging process of a) the Bare-LCO and b) the OIN-LCO to 4.6 V
Adv. Sci. 2022, 2104841
3. 高镍正极材料首次充电O2和CO2析出定量检测

O2 and CO2 evolution rates during in-situ DEMS measurements and the corresponding voltage profiles of NCA and NCAT1 cycled at 0.1C between 3.0 and 4.7 V
Small 2021, 2104282
4. 锌离子电池

https://doi.org/10.1016/j.joule.2022.01.002
5. Li-O2电池充放电过程O2检测

Li-O2电池DEMS analyses in the Swagelok LOBs without (e, f) 0.5 mg ml-1 Au nanocolloid electrolyte in discharge (e) and charge (f) processes.
ACS Appl. Mater.Interfaces, 2021, D01:10.1021/acsami.0c20871
1.2电催化DEMS应用概况

适用领域:
1.CO2电催化还原气相产物(CO,CH4,C2H4,CH3OH等)瞬时检测,相对法拉第效率测定;
2.硝酸根电催化还原中NO,N2O,NH2OH,NH3,N2等中间产物或最终产物原位检测;
3.电解水OER同位素标记18O,LOM或AEM反应机理确认;
4.甲醇电氧化反应中间产物或最终产物(HCHO,HCOOH,CO等)瞬时检测及各产物电流效率计算;
5.氢同位素标记,氢气析出反应(HER)机理解析;
6.碳材料稳定性评估(高电位下CO,CO2检测);
7.其他(光催化,光电催化,氧还原,氢氧化,氯气析出,有机电合成等)。
应用案例:
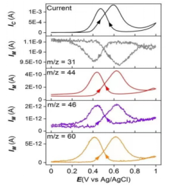
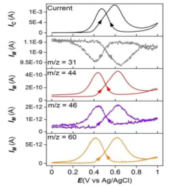
1.硝酸根电还原中间体检测

Linear Sweep Voltammetry during DEMS mearements: applied voltage from 0.05 to -0.95V. The NRA performance was recorded versus a saturated calomel electrode(SCE)in 0.5M Na2SO4 electrolyte with 200 ppm nitrate-N. DEMS measurements of NRA over Cu/Cu2O NWAs.
Angew. Chem. Int. Ed. 10.1002/anie.201915992
2.电解水OER同位素标记18O,LOM或AEM反应机理确认

DEMS signals of 32O2 (15O16O) and 34O2 (16O18O) from the reaction products for 18O-labeled SrRulr and RuO2 catalysts in H218O aqueous sulfuric acid electrolyte and corresponding CV cycles. The mass spectroscopy signals are baseline subtracted.
J. Am. Chem. Soc. 2021, 143, 17, 6482-6490
3.甲醇电氧化反应

Simultaneously recorded CV and MSCVs for methanol electrooxidation on Pt/C in 1 M methanol and 0.5 M H2SO4 solution at the scan rate of 1 mV s-1. Electrolyte flow rate of 2.67ml min-1, distance of 50 µm. Arrows indicate the direction of potential scan.
Journal of Power Sources 509 (2021) 230397
4.氢同位素标记,氢气析出反应(HER)机理解析

DEMS signals at m/z=2,3 and 3 at a pulsed potential of 0.3V RHE over the Cu catalyst in 1 M KOH with 50 mM deuterated benzaldehyde.
Nature catalysis, 2022,5,66-73
5.CO2电还原

(a) Polarization curves of Au(hkl) recorded in a CO2-saturated 0.1 M KHCO3 solution at 1 mV/s. (b) Normalized Q-mass ion currents for hydrogen, carbon monoxide, and methane detected by OLEMS with dependence of the applied cathodic potential. Insets are magnififications of the onset potential regions.
ACS catal. 2019,9,1383-1388
2.原位电化学红外光谱附件(电池、电催化)
2.1电催化原位红外光谱附件

内反射模式(表面增强红外ATR-SEIRAS)


可得到吸附态和溶液相中间产物或最终产物信息
应用案例:
1.CO2电还原反应中间体检测

原位ATR-SEIRAS光谱,将施加的电位从-0.4降低到-1.8V,同时记录所有光谱
Nature Communications, 2022 13:63
2. 氢氧燃料电池电催化

In-situ ATR-SEIRAS spectra recorded during stepping the potential from 0.2 to −0.15 V vs. RHE in H2-saturated 0.1 M KOH electrolyte for a-b Ru/C, c-d Ru7Ni3/C and e-f Acid-Ru7Ni3/C.
Nature Communications, 2020 11:5651
2.2电池原位红外光谱附件
适用于锂离子电池、锂硫电池、钠离子电池、锂氧气电池、锌离子电池等非水系或水系电池体系,探究正极材料、负极材料、SEI膜、电解液分解、溶剂化以及锂离子动力学行为。


In situ ATR-FTIR spectra of the NbO2 electrode surface during the initial two charge-discharge cycles of the NbO2|LiMn2O4 full cell. The SEI formation on the NbO2 electrode starts in the charging at 2.0 V; both TFSI and MU contribute to the SEI formation.
https://doi.org/10.1016/j.joule.2022.01.002
3.公司优势:
3.1 A 完整的交钥匙解决方案,提供针对电池或电催化研究领域的原位电化学质谱仪和进样系统,多样可选的电解池解决方案以及成熟的电化学现场实验指导培训。
B 提供不同价位可选的原位红外光谱附件(光路附件+各类电化学池+晶体Si/CaF2/Ge/ZnSe/金刚石)
3.2公司在上海设有原位电化学质谱和原位电化学红外分析测试实验室,可为客户提供测样平台,实地调研仪器
3.3强大的应用及售后工程师团队,具有电化学、质谱、真空、红外相关领域专业知识
3.4客户情况:北京大学、清华大学、复旦大学、同济大学、武汉大学、南开大学、天津大学、吉林大学、中国科学院长春应用化学研究所、宁德时代……百余所高校及企业。
3.5服务客户已在知名国际期刊(J. Am. Chem. Soc./Angew. Chem./Adv. Mater./Adv. Energy Mater./ACS Catal./Appl. Catal./Adv. Funct. Mater./Energy Storage Mater.等)发表高水平论文150余篇
设备或测试需求,欢迎来电或来访咨询
手机/微信:13651655649
座 机:021-50670008
公 司:上海零露仪器设备有限公司
地 址:上海市浦东新区兰嵩路555号森兰美伦A座208室
www.linglush.com
