4种科研误差图总结,简单易绘,你绘了吗?
引言
在这个学术“精益求精”的时代,可谓是“一山更比一山高”。
若想从茫茫学术大军中脱颖而出,必然要“技压群雄”。何为“技”?当然是技术省钱、理论精确。精度高低一般用误差来衡量,当误差比别人小时你自然脱颖而出。可谓是“失之毫厘,差之千里”。
误差是科学研究中不可或缺的一部分。如拟合公式误差、理论公式误差、预测模型误差、试验数据误差等等。前期我们已经讨论了4种误差图的origin绘制方法(直接型、对角型、置信区间型、误差棒型),今天主要对4种方法进行总结,讨论下各图形的适用范围以及如何选择。
第一类:直接型误差图
直接型误差图是将误差(残差、百分比误差等)为纵坐标轴,样本编号/时间/空间等为横坐标轴绘制出来的散点图/点线图。
直接型误差图的适用范围很广,如拟合公式误差、数据挖掘误差、理论公式误差等等,其中数据挖掘误差用直接型误差图最为合适。当今是大数据时代,数据挖掘已经渗入到各行各业以及生活的方方面面,“万物皆可挖”。由于数据挖掘(如神将网络、随机深林等等)简单好懂,若不做细,也不需要太多学习成本,是“水”论文的绝佳选择。

第二类:对角型误差图
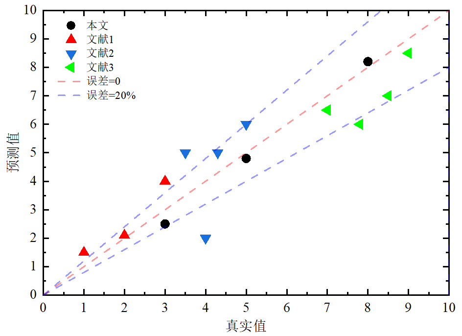
对角线误差图就是真实值为横轴,预测值为纵轴,那么直线y=x其实就是0误差线;残差线与y=x平行,即y=x+b,其中b为残差;百分比误差线为y=(1±c)x,c为百分比误差,很明显为两条过原点的直线。其实也可以加入置信区间。
要想“站在巨人的肩膀上”就要在精度上超越巨人。有时候我们并没有足够的时间和精力去开展大量试验来检验自己的模型/公式/算法的准确性,那么我们就可以利用已有文献中的数据来丰富检验数据(origin可以很简单地提取图片中的数据)。对角线误差图大致可以分为4个层次。
1.自己的方法---自己的实验数据。
2.自己的方法---不同文献的数据。
3.自己的方法和其它文献中的方法---自己的实验数据。
4.自己的方法和其它文献中的方法---不同文献的数据。

第三类:置信区间型误差图
置信区间型误差图其实就是在拟合曲线上加上置信区间/预测区间。
置信区间型误差图有个前提条件---先拟合,故这也限制了它的适用范围,只能用于表达拟合公式的精度。

第四类:误差棒型误差图
误差棒型误差图其实就是用平行试验数据的均值作为数据点,误差(标准偏差SD、标准误差SE)作为误差棒绘制的带误差棒的点线图/柱状图等等。
科研中我们有时会遇到一些指标的试验数据离散性大,也就是平行实验数据不尽相同。这时我们就可以在基本绘图中加入误差棒/带,来表现这种离散性,这能让审稿人对你的数据多一分信任。


