《Nature Energy》:燃料电池重大技术突破!工作温度范围可达–20 °C 至 200 °C
发布者:刘德桃发布时间:2022-05-18浏览次数:10

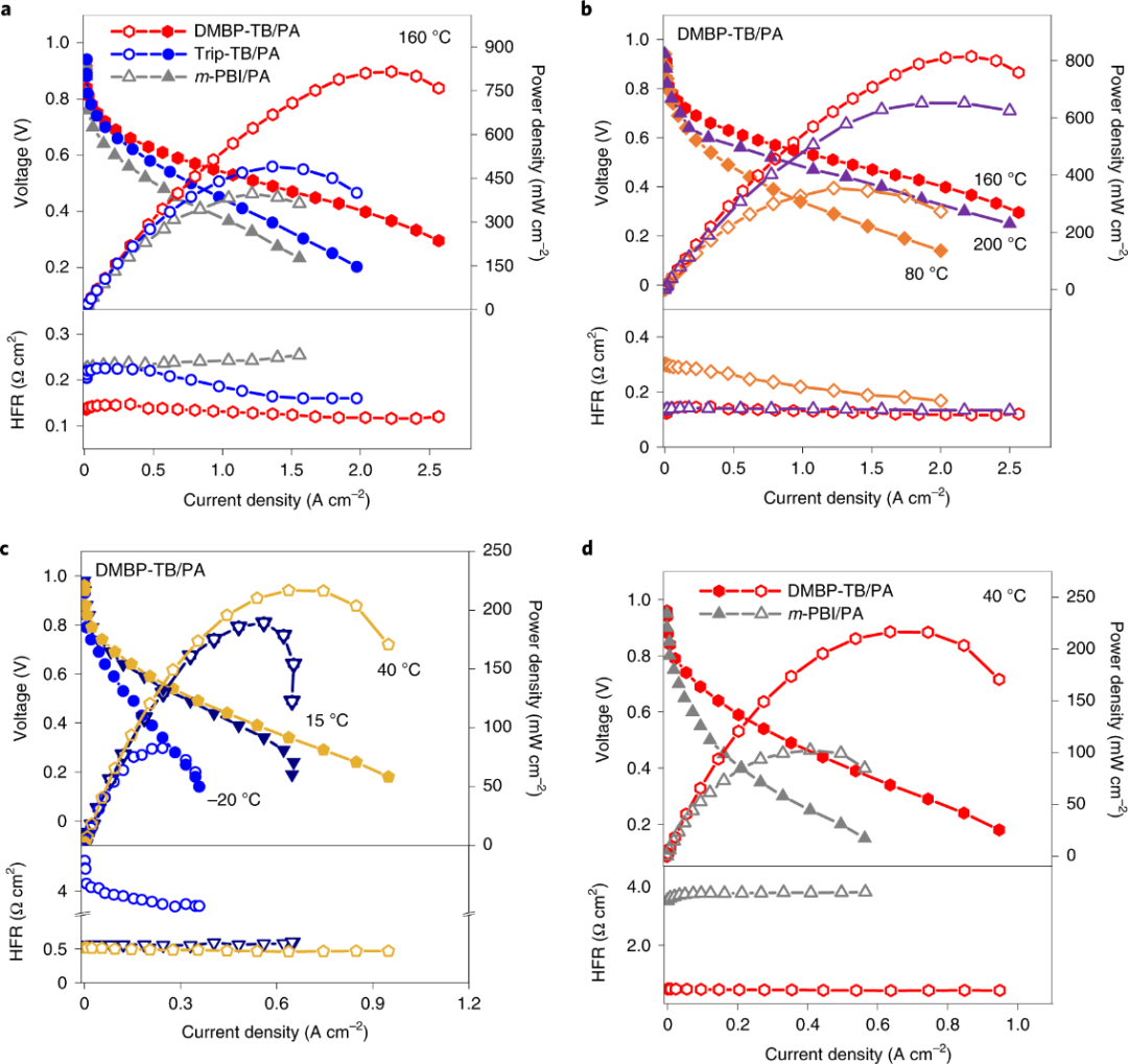
质子交换膜燃料电池(PEMFC)由于具有功率密度高、操作温度低、环境友好等等优点而备受人们的关注。特别是,随着2014年丰田发布燃料电池电动汽车Mirai,掀起了新一轮燃料电池及燃料电池汽车的产业化热潮。然而,作为燃料电池汽车的核心部件,PEMFC仍然存在诸多技术壁垒需要克服。图1:丰田2014年发布的燃料电池电动汽车Mirai。目前已经商业化的低温PEMFC主要采用基于全氟磺酸 (PFSA) 质子交换膜(PEM),如Nafion膜,它可以在相对低温(~80 °C)且完全加湿条件下具有出色的质子传导性。但是,随着相对湿度 (RH) 的降低, PEM的导电性会降低并最终脱水,导致寿命较短。因此,传统的PEMFC汽车需要进行水和热管理,如搭配大型散热器来散发废热,极大地增加运行成本。相比之下,使用磷酸(PA)掺杂的聚苯并咪唑膜(PBI/PA)的高温PEMFC能够在140 °C 以上的温度下运行,不仅不需要加湿或热管理系统,而且较高的操作温度可增强电催化剂的反应活性。据报道,基于 PBI/PA 膜的 PEMFC 可以在 160 °C 的温度下稳定运行超过 27,000 小时!然而,当冷启动或频繁启动时, 水冷凝会导致PBI/PA膜中掺杂的水溶性 PA 会渗出,质子传导性能下降,从而将燃料电池的工作温度范围限制在 140 °C 以下。因此,拓宽操作温度并进一步实现零下冷启动能力成为高温 (HT) PEMFC 系统商业化的关键挑战。遗憾的是,迄今为止,还没有实现能够在零下温度运行且不会损失PA的HT PEMFC。为了应对这一挑战,中科院山西煤炭化学研究所李南文研究员携手中科院北化所尤伟研究员和天津大学Michael D. Guiver教授,报道了一种具有刚性、高自由体积的Tröger碱衍生聚合物(TB)构成的PA掺杂的本征超微孔膜,其组装的HT PEMFC能够在–20 °C 到 200 °C 的温度范围内运行,无需外部加湿,且允许多次启动和关闭循环,实现了高温燃料电池技术的重大改进和突破!与传统的PBI/PA膜相比,该超微孔膜具有以下几个优点:1)可调的亚纳米级微孔,平均孔尺寸为3.3 Å,并表现出惊人的PA虹吸效应;2)即使在高RH条件下也能保持较高的PA 保留率,并且质子传导保留率比传统的 PBI/PA膜高1000倍以上!3)所组成的HT PEMFC在 15 °C 下进行 150 次启动/关闭循环后仍然具有高达 95% 的峰值功率密度保持率,且在 -20 °C 下也可以完成超过 100 次循环。相关研究工作以“Fuel cells with an operational range of –20 °C to 200 °C enabled by phosphoric acid-doped intrinsically ultramicroporous membranes”为题,于2022年1月3日发表在能源领域顶级期刊《Nature Energy》上。为了探究聚合物链的空间位阻、旋转灵活性和填充效率的差异对材料本征微孔尺寸和分布的变化,研究人员制备了四种基于 TB 的聚合物,二甲基二苯基甲烷(DMDPM-TB)、二甲基联苯(DMBP-TB)、三甲基苯基茚满(TMPI-TB)和三苯环(Trip-TB)(图 2)。正电子湮没寿命光谱 (PALS)表明, DMDPM-TB、DMBP-TB 和 TMPI-TB 膜中表现出一种超微腔(3.5 Å),而 Trip-TB 具有两种微腔(2.8 Å和4.4Å),这可能是由于三苯乙烯结构的内部自由体积元素破坏了聚合物链堆积导致的。在四种微孔膜中,DMBP-TB 和 Trip-TB 具有最大的整体自由体积分数。图 2:基于TB 聚合物的超微孔膜的化学结构和孔特征。研究还发现,基于 TB 的膜中的刚性双环叔胺中心似乎是 PA 吸收的关键因素。微孔率评估和 31P NMR 分析表明,超微孔膜空间受限微孔中的毛细管力和酸碱相互作用,从而提高了保留 PA的能力。也就是说,由适当的微孔(R3 ≈ 3.3 Å)产生的较大的自由体积分数有利于 PA 的吸收和保留。为了进一步证实微孔对 PA 的虹吸效应,研究人员将 TB/PA 膜在 40 °C 的蒸馏水中浸泡 3 次(每次 12 h)以去除掺杂的 PA 后。结果发现,在去除 PA 过程后,DMBP-TB 和 TMPI-TB 膜的表观 BET分别仅为 16 和 15 m² g-1。相比之下,具有较大孔径的 Trip-TB 膜在去除 PA 后显示出明显的 BET 恢复。这些结果表明,平均超微孔半径为 3.3-3.4 Å 的固有微孔显示出与 PA 的最强虹吸相互作用。随后,研究人员在 –30 °C 到 180 °C 的温度范围内,且没有加湿的情况下,测量了 四种TB/PA膜的质子电导率(图 3a)。结果表明,DMBP-TB/PA 膜由于其 PA 吸收率最高而表现出最高的电导率(180 °C , 159 mS cm-1),而 TMPI-TB/PA 和 Trip-TB/PA 膜也表现出比 m-PBI/PA 更高或相等的质子电导率。值得注意的是,即使在–30 °C温度下,DMBP-TB/PA 膜的质子电导率(10 mS cm-1)也非常出色,比 m-PBI/PA(˂ 1 mS cm-1)高10倍以上!此外,在加湿条件下,由于 PA 的过度损失,m-PBI/PA 膜的电导率降低了近三个数量级。相比之下,具有超微孔的 DMBP-TB/PA 膜,质子电导率能够维持在原来的 60%。而且, DMBP-TB/PA 膜的PA 含量仅损失 36%,是迄今为止具有最高 PA 保留性能的最佳 PEM 之一。图 3:不同条件下 PA 掺杂膜的电导率和 PA 损失。最后,研究人员使用碳负载 Pt 催化剂和聚四氟乙烯 (PTFE)粘合剂以及 PA 掺杂的 TB 和 m-PBI/PA 膜构建了膜电极组件 (MEA)。测试结果表明,在 160 °C 下,没有外部加湿或背压,基于DMBP-TB/PA的MEA实现了最佳的燃料电池性能,峰值功率密度为815 mW cm-2,是目前报道最高的m-PBI/PA膜制备的MEA(397 mW cm-2)的两倍多!尽管Trip-TB/PA膜的PA 吸收率较低,但其组装的MEA也表现出比 m-PBI/PA 更好的燃料电池性能。令人兴奋的是,即使在 –30 °C 下由于 DMBP-TB/PA 膜也具有更高的质子传导率。基于 DMBP-TB/PA 的 MEA 可以在 –20 °C轻松启动,并且可以在 83 mW cm–2 的峰值功率密度下运行(图 4b,c)。且随着工作温度从 –20 °C 增加到 160 °C,DMBP-TB MEA 的峰值功率密度继续上升,在 40 °C 下峰值功率密度最大超过 200 mW cm-2 。在相同条件下,基于 m-PBI/PA 的 MEA峰值功率密度则小于 100 mW cm-2(图 4d),且在–20 °C下无法启动运行。因此,基于 DMBP-TB/PA 的 MEA 作为单一装置可以在 –20 °C 到 200 °C 之间平稳运行,这是迄今为止实现的最广泛的 PEMFC 工作温度范围之一。图 4:没有背压或外部加湿下,超微孔膜组装的 MEA 的电化学性能。更严苛的加速应力测试 (AST) 结果发现, DMBP-TB/PA MEA可以在 40 °C 和 15 °C 下进行 150 多个循环,而 m-PBI/PA 在 40 °C 下仅两个循环后失效。而且,在 15 °C 时观察到 DMBP-TB/PA MEA 具有出色的稳定性,其峰值功率密度为 199.2 mW cm–2,经过 150 次积极的启动/关闭循环后以 189 mW cm-2 峰值功率密度(95% 保留)结束(图 5b)。即使在 –20 °C 下,DMBP-TB/PA MEA也可以进行 100 多个循环。