Science:北航赵立东团队,热电能源材料
热电材料Thermoelectric materials,实现了热与电之间的直接转换,提供了发电潜力。N型硒化锡tin selenide晶体,沿平面外方向表现出突出的三维电荷和二维声子输运,有助于实现每开尔文~3.6×10−3高最大品质因数Zmax,但仅有~1.1中等Ztave (平均无量纲品质因数ZTave决定器件效率)。
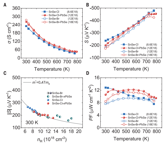
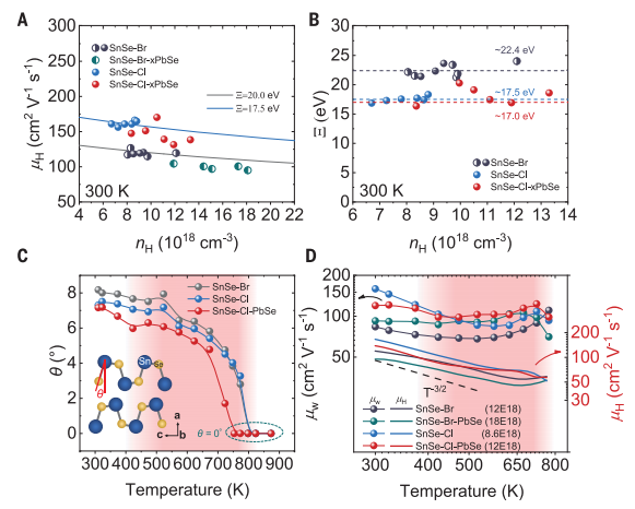
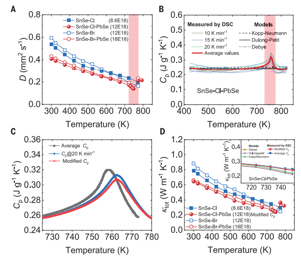
今日,北京航空航天大学 材料科学与工程学院 赵立东团队LIZHONG SU一作,在Science上发文,报道了通过声子-电子退耦phonon-electron decoupling,在氯掺杂和铅合金化的硒化锡晶体中,在748开尔文温度下,呈现~4.1×10−3每开尔文的高Zmax,在300至773开尔文温度下,具有~1.7的Ztave。氯诱导低形变势 low deformation potential ,提高了载流子迁移率。铅引起的质量和应变波动,降低了晶格热导率。声子-电子退耦是实现高性能热电材料的关键。

High thermoelectric performance realized through manipulating layered phonon-electron decoupling
调控层状声子/电子退耦实现高热电性能。

图1.增强三维电荷和二维声子输运实现电子和声子退耦。

图2.沿平面外方向的电输运性质。

图3.促进载流子迁移率。

图4.沿平面外方向的热传输特性。
热电材料Thermoelectic materials,将热转换为电,有助于能量产生或固态冷却。该项研究发现,用氯和铅掺杂硒化锡 tin selenide,显著提高了宽温度范围内的热电优值。这种效应主要是因为材料变形势能material’s deformation potential ,这与引入到n型材料中的质量和应变波动相关。以这种方式提高品质因数是极具挑战性的,因为这些性能,往往是相互交织的,试图提高一个性能往往会降低其他性能。
文献链接:
https://www.science.org/doi/10.1126/science.abn8997
DOI: 10.1126/science.abn8997
