观察一滴水从倾斜板上滑落,发了一篇《Nature Physics》
				  
				  发布者:刘德桃发布时间:2022-05-18浏览次数:10
				  
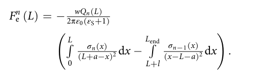
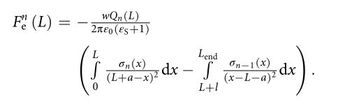
					在日常生活中我们总能在窗户表面观察到移动的水滴,然而这一滴水的移动对于工业生产的过程意义非凡。近日,一项研究颠覆了液滴运动的传统认知。德国马克斯-普朗克研究所Stefan A. L. Weber和Hans-Jürgen Butt团队发现液滴运动并不完全由接触处的粘性耗散和激活动力学决定,静电作用对液滴运动的影响也不容忽视。这项工作以“Spontaneous charging affects the motion of sliding drops”为题发表在《自然物理学》杂志上。第一作者为Li  Xiaomei。作者通过简单的倾斜板实验证明了粘性耗散和激活动力学不能准确预测液滴的运动。在具有相同表面化学性质但不同衬底电导率和衬底厚度的表面上,作者观察到液滴运动不同的平均速度。当衬底电导率高于晶片中的电导率时,可以观察到更快的液滴运动。这个简单的实验证明了液滴运动的预测还缺少一个重要的考虑因素。作者认为这一影响因素为静电,并将注意力集中于解决以下问题:是否可以定量测量移动液滴上的静电力?怎么用?静电力可以解释测量的下降轨迹吗?具体来说,基板为什么以及如何影响液滴运动?为什么之前的下跌会影响下跌的运动?为了回答这些问题并直接测量作用于移动液滴的力,作者开发了一种分析倾斜板实验的新方法。作者制备了光滑的疏水表面,为了确定静电力的强度,作者改变了基板及其相对于接地金属背电极的厚度。通过测量液滴速度、前进和后退接触角以及在参考表面上滑动的1000个水滴之前和之后的形态来确认涂层的稳定性。作者得出两个结论。首先,液滴运动不仅仅由接触线上的粘性耗散和激活动力学决定。为了量化额外的力,作者分析了液滴运动的方程:在没有静电效应的情况下,作用在液滴上所有力总结在参考力Fr(U)中。参考力取决于速度U,但不取决于滑动长度L。对于额外的力Fe,下标“e”表示“额外”或可能是“静电”。它可能取决于速度,滑动长度和液滴数n。对静电力建模使作者能够解释所测量的额外力的形状和大小。作者通过积分表面电荷密度σn(x)的场强来导出电场。然后作者将其与液滴电荷Qn(x)相乘,第n滴的静电力:图3 用PFOTS涂层样品上的33μl水滴获得结果计算得到的力与研究者在模型中描述的静电力一致。中性的液滴在绝缘体上滑动,就可以变成带电的,因此静电作用在那里起着重要作用。另一方面,在导电基底上,液滴立即将电荷释放回基底。这些结果将改善从印刷到微流控、水管理到基于液滴的微型发电机等应用中液滴运动的控制。--3D打印白皮书--

来源:高分子科学前沿