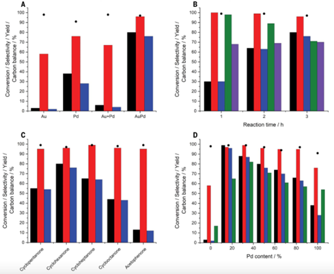
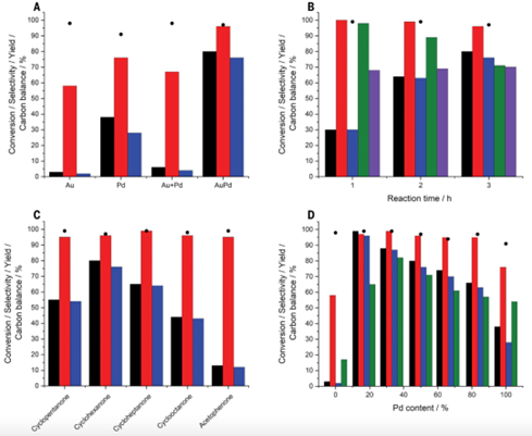
负载的金-钯(AuPd)合金纳米粒子与钛硅酸盐-1 (TS-1)催化剂结合,可以根据需要原位产生H2O2,产生选择性>95%的环己酮肟,发表在国际顶级期刊《Science》上
				  
				  发布者:刘德桃发布时间:2022-05-18浏览次数:10
				  
					
环己酮肟是生产己内酰胺的关键前体,己内酰胺是一种用于合成聚酰胺尼龙-6的日用化学品。随着尼龙-6的全球产量预计到2024年将达到每年890万公吨,预计对环己酮肟的需求将同时增加。生产环己酮肟的传统路线涉及环己酮与硫酸羟胺的反应,产生硫酸铵-一种应用有限的低价值肥料-作为主要副产物。替代路线具有较低的反应pH值(通过复杂和高能量的提取步骤)或对所需产物的选择性较低。使用钛硅酸盐-1 (TS-1)作为催化剂,环己酮、氨和预先形成的H2O2作为反应物,开发了克服这些挑战的单步氨肟化工艺。在该方法中,羟胺由TS-1原位催化形成,该中间物质随后与环己酮非催化反应生成肟。TS-1对H2O2的催化活性在许多选择性氧化过程的发展中至关重要,这通常归因于TiIV位点容易配位多种物质的能力,在环己酮氨肟化的情况下,这种能力在羟胺的形成中至关重要。尽管催化剂设计的广泛进步导致了一系列钛硅酸盐的发展,这些钛硅酸盐对环己酮氨肟化具有高选择性并提供更高的催化稳定性[包括Ti-MOR、Ti-Beta、TS-2和Ti-MWW,TS-1仍然被广泛认为是涉及H2O2的反应的工业标准。虽然基于H2O2/TS-1的工业氨肟化工艺(占全球每年约600万公吨的肟产量)提供了优异的催化选择性,但通常需要过量的H2O2,因为氧化剂在相关反应条件下(高温和高pH)稳定性低,导致工艺成本增加。此外,预先形成的H2O2需要从集中的生产点运输,在那里它的生产浓度大大超过氨肟化过程中所需的浓度;必要的稀释实际上浪费了先前在蒸馏和浓缩步骤中使用的能量。此外,H2O2的不稳定性需要添加酸和卤化物稳定剂以防止其在运输和储存过程中降解,这反过来会限制催化剂的稳定性,通过腐蚀降低反应器寿命,并产生与从产物流中除去它们相关的大量成本。同样,所有使用过氧化氢的化学转化都在一定程度上避免了这些缺点。使用预制过氧化氢(H2O2)的环己酮氨肟化目前在商业上用于生产环己酮肟,环己酮肟是尼龙-6生产中的重要原料。今日,上海交通大学化学化工学院陈立桅教授、刘晰研究员、英国卡迪夫催化中心Graham Hutchings教授合作研究表明,通过使用负载的金-钯(AuPd)合金纳米粒子与钛硅酸盐-1 (TS-1)催化剂结合,可以根据需要原位产生H2O2,产生选择性>95%的环己酮肟,与当前的工业路线相当。还演示了几种附加的简单酮的氨肟化反应。这种方法消除了运输和储存高度集中问题、稳定H2O2的需要,潜在地实现了大量的环境和经济节约。这种方法可以形成目前依赖于预先形成的H2O2和TS-1的组合的许多化学转化的替代路线的基础,同时允许相当大的工艺强化。相关研究工作以“Highly efficient catalytic production of oximes from ketones using in situ–generated H2O2”为题发表在国际顶级期刊《Science》上。祝贺上海交通大学!图1. 提出原位H2O2合成环己酮肟氨肟化的关键反应途径图2. 与TS-1结合使用的负载型0.66%AuPd/TiO2(氯化物-O)催化剂通过原位产生H2O2对环己酮氨肟化的催化活性作者之前已经开发了用于从提供高合成速率和> 99% H2利用率的元素直接合成H2O2的催化剂。然而,到目前为止,直接法还不能与目前H2O2生产的工业路线相媲美,主要是因为避免潜在爆炸危险所必需的稀释H2和O2流限制了H2O2的生产。如果产生H2O2,然后在原位迅速消耗掉,这个缺点就不再存在。事实上,原位生成的H2O2的应用是许多化学原料稳定化的长期目标,对一系列选择性氧化反应进行了研究,包括丙烯环氧化、醇氧化和甲烷部分氧化。然而,早期的工作并没有展示出对当前各种工业方法的可行替代方案,并且通常受到转化率低或对所需产品选择性差的阻碍。事实上,在许多情况下,原位方法经常导致不可预见的复杂情况,例如产生潜在的有害副产物,通常主要由竞争性氢化反应驱动。此外,与催化剂失活相关的问题以及对不利的溶剂系统或昂贵的添加剂的要求阻碍了原位生成的H2O2路由到选择性氧化的采用。这种原位方法在环己酮氨肟化中的应用不仅受到早期研究中概述的潜在缺点的阻碍,还受到反应序列的两个关键过程之间的条件的实质性差距的阻碍。在低pH值和低于环境温度下有利于H2O2的直接形成,而与氨肟化过程相关的高反应温度和碱性条件对H2O2的稳定性都是有害的。作者研究报道,有可能弥补这一条件上的差距,将H2O2的直接合成与环己酮氨肟化结合起来,以与当前商用过程中使用预制化过氧化氢观察到的产率相当。这是通过在AuPd纳米粒子上原位生成H2O2以及商业TS-1催化剂来实现的。图3. TS-1负载复合AuPd催化剂原位生成H2O2催化环己酮氨肟化反应的性能和稳定性图4. 0.33%Au-0.33%Pd/TS-1(醋酸盐-O+R)催化剂连续反应参数的优化环己酮肟的当前工业路线的主要挑战与TS-1催化剂的失活有关,通过在反应物流中存在相对高浓度的氨诱导形成TiO2-SiO2畴。与这些观察结果一致,作者通过XPS进行分析表明,在氨肟化反应中,Ti的物种形成比连续重复使用有微小的变化,这表明形成了类TiO2表面物种,尽管没有观察到催化剂活性的损失。近年来,中空钛硅酸盐(HTS-1)已经通过TS-1的合成后处理得到开发,发现这些材料在用于氨肟化反应时比母体材料提供更大的稳定性。因此,作者认为,在潜在的工业应用中,通过采用HTS-1或替代的钛硅酸盐载体,可以减少任何失活。作者进行了详细的技术经济评估,假设0.33%Au0.33%Pd/TS-1(乙酸酯-O+R)催化剂的寿命与当前工业路线中报告的TS-1相当,并且TS-1组分的活性相当(即0.3kg TS-1催化1吨环己酮肟的生产),计算证明了原位方法的经济可行性,并且估计仅基于材料成本就可节省13%(假设催化剂寿命为2.3年)。事实上,即使假设更有限的催化剂寿命(0.75年),经济评估显示,原位方法的材料成本与当前的工业方法相当。这一评估没有考虑与原位H2O2生产相关的大量节约,即与H2O2运输和储存以及延长反应器寿命相关的节约,因为已知反应器腐蚀是由预制H2O2中稳定剂的存在引起的。此外,这种关键平台化学品的制造过程含碳量较低,从而节省了大量环境成本。因此,原位路线代表了向更可持续的选择性化学转化迈出的积极一步,并且具有取代当前环己酮肟工业路线的潜力。更广泛地说,这种方法可以在目前依赖于使用TS-1和预先形成的H2O2的其他工业氧化反应中找到更广泛的应用。商业应用的过氧化氢目前是通过间接方法大量生产的,该方法包括醌的还原和再氧化。直接从元素中提取氢的麻烦在于氢和氧的浓缩混合物具有爆炸的危险。这项研究表明在安全浓度下直接合成过氧化物与目前生产环己酮肟(尼龙的关键前体)的工业方法是相容的。该方案有可能为生产大批量化学品提供实质性的效率优势。再次祝贺上海交通大学,期待更多突破!文献链接:https://www.science.org/doi/10.1126/science.abl4822