教务通知_
关于公布前沿软物质学院2022年硕士研究生统考招生复试名单的通知
发布时间:2022-03-18
浏览次数:1031
各位考生:
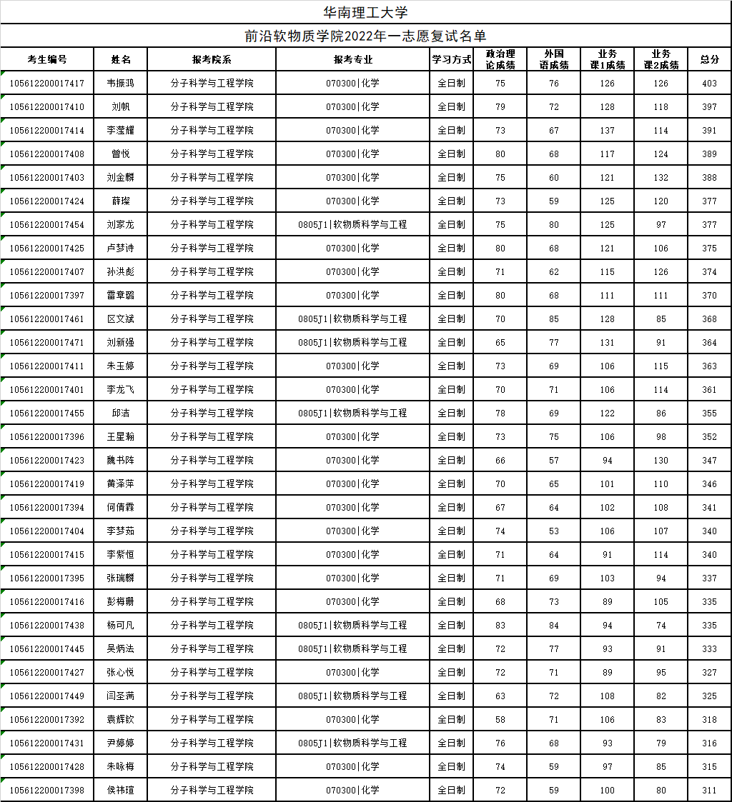
我院2022年硕士研究生招生统考复试名单公布如下。请相关同学做好复试准备。
如有疑问可与学院联系,联系人:张老师,办公电话:020-22237321

前沿软物质学院
2022年3月18日
