酸性矿山废水(AMD)是在采矿过程中残留在尾矿和废石中的硫化物矿物经氧化而产生的,产生的废水具有高酸度、高硫酸根浓度、高重金属浓度等特点。在早期的矿山开采中AMD用于灌溉,而土壤酸化会导致矿物质溶解、反应,并释放有毒元素到环境中。AMD组分的迁移对地表水和地下水造成了严重的污染,促进了有毒金属在土壤中的积累。有毒金属从表层土壤渗入深层,可能会污染地下水。这种风险取决于重金属在土壤中的固存、迁移和运输,特别是在污染的最初阶段。这些金属能够与土壤活性成分进行物理、化学和生物反应,包括吸附、络合、沉淀和取代。在AMD淹水过程中,环境条件的变化会导致金属组分发生转变。因此,重金属在土壤中的迁移和毒性不仅取决于总浓度,还取决于特定的化学形态、金属类型、环境因素和土壤特征。
在酸性土壤中,金属的固存和迁移主要由吸附/解吸反应控制,金属最初可以转化为相对可迁移或可交换的馏分,然后再重新分配为不易迁移的形态,随着时间的推移,以可溶性形式添加到土壤中的金属会在土壤的液相和固相之间重新分布,这一再分布过程已被监测了数周或数月,大量的文献研究了AMD中重金属的这种转化,通常是通过现场调查,或者选择重金属污染严重的土壤。但目前对洁净稻田土转变为重污染土的全过程研究较少,重金属在固液两相间的时空变化或分布动力学数据较少。对发生的相变及其动力学的了解对于评估AMD污染的影响至关重要。为了填补这一空白,我们通过土柱实验(图1)研究了AMD长期灌溉大宝山矿区未受污染的水稻土壤对其酸化的影响以及Cu和Cd的形态转化情况。选择Cu和Cd的原因是,矿区周围土壤中的Cu和Cd含量非常高且在土壤中的保留机制是不同的。

图1 柱实验装置图
图2展示了孔隙水中环境因子的动力学变化特征,土壤最初呈弱酸性,在注入去离子水时保持相对稳定,但随着时间的推移,pH值出现了一些不稳定,这可能是生物活性的影响,AMD淹水使水-土界面的pH为2.21,并使不同深度的pH显著降低,pH值随着时间的推移而下降,但随着深度的增加,其变化会减弱和延迟,这显然是在长期的AMD淹水期间土壤缓冲能力丧失的结果,在AMD淹水过程中,通过AMD加入了大约50 mg L-1的Fe(II),这也解释了最初的增加,但除最深层外,孔隙水中溶解的Fe(II)和总Fe在第67天后开始下降。两个月后的下降可能是因为此时土壤中存在的铁氧化物和铁氢氧化物被还原并开始溶解,或者是Fe(II)氧化过程中Cd/Cu的共沉淀,在清洁水淹水过程中,铁含量随深度和时间的变化而变化(图2d, f),在所有深度层中,铁含量都先增加后降低。这可能是由于土壤中铁矿物的减少和溶解以及淋滤。在清洁水淹水过程中,这些金属离子的浓度相对较低,浸出影响较小,AMD淹水期间,水-土界面浓度随时间的推移保持稳定,但67天后,5 cm(Cu)和其他深度(Cd)的水-土界面浓度显著增加。在这个深度,土壤对Cu的保留能力很强,在128天后逐渐溶解;较深层Cu的增加较晚且较弱(图2g)。AMD柱中Cd浓度随着时间和深度的变化有轻微的增加趋势(图2i),这可能是由于Cd的强迁移性所致。

图2 孔隙水中环境因子的动力学变化(左边AMD组,右边清洁水组)
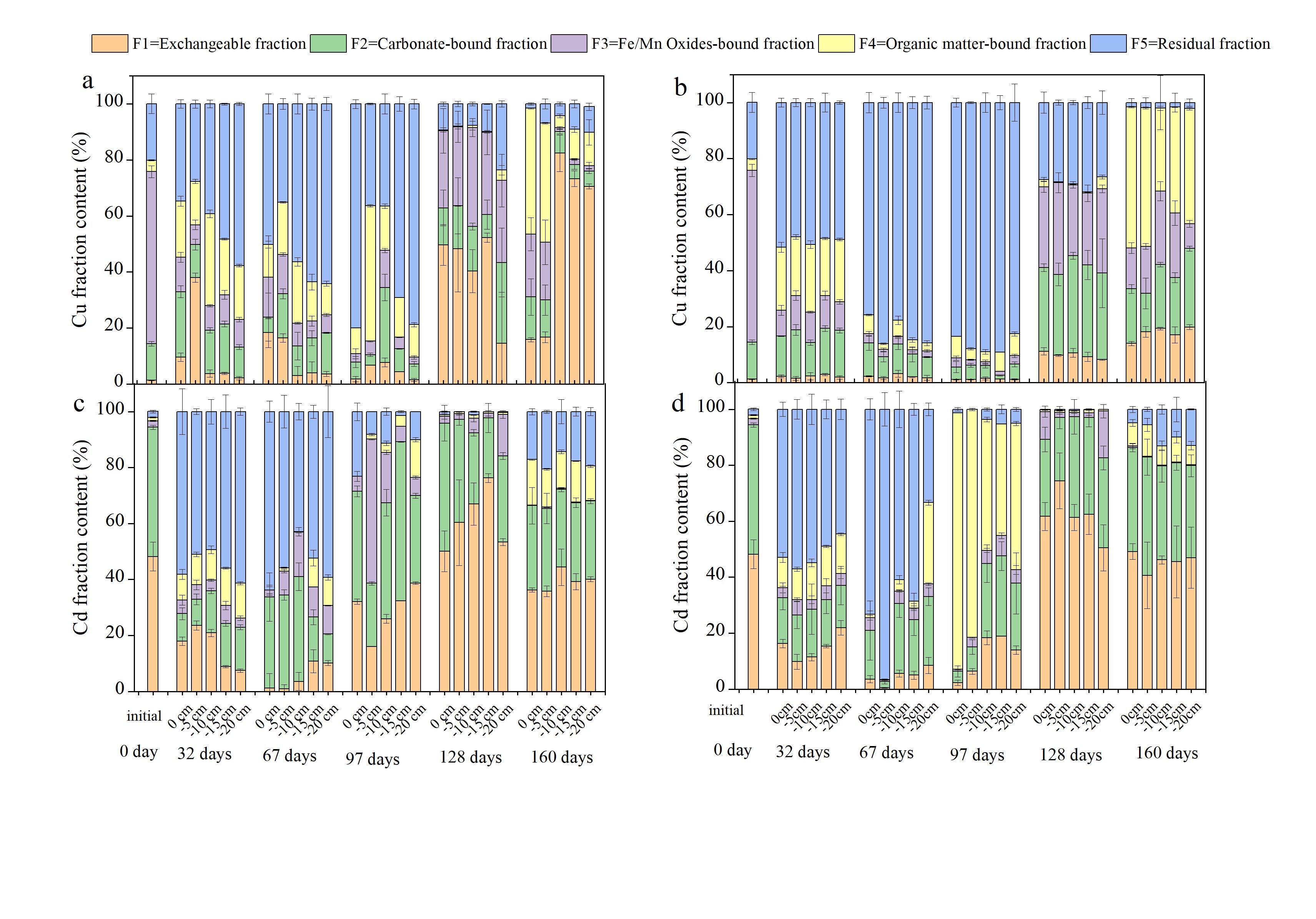
在不同的时间点对不同深度的土壤进行采样,并进行形态提取,以测定Cu和Cd的总含量和形态分布,结果如图3和图4所示。这些结果与实验开始时的土壤进行比较。图3显示了淹水160天期间水稻土中Cu和Cd的含量随时间的变化。此时,由于AMD淹水的影响,最深处Cu的总含量已经从最初的26.89 mg kg-1增加到696.96 mg kg-1。最深层Cd含量从0.22 mg kg-1增加到第67天的391.30 mg kg-1(图3c)。这说明土壤中Cu的固存量很高,而Cd的固存量较低。水浸可使Cd快速浸出,而Cu浸出缓慢,浸出时间较长。Cd的快速下降主要发生在前32天,浸出率高达68.61%-91.04%(图3b和3d)。最初,Cu主要以F3和F5形态存在(图4a),而Cd主要存在于F1和F2中,由于在AMD淹水过程中加入了大量的Cu和Cd,导致了吸附位的竞争,这可能影响了它们的转化。从图4a和4c中可以看出,土壤在前32天内,AMD和清洁水淹水的差异不明显。AMD组各层F5中Cu、Cd含量在67天内逐渐升高。这可能是由于AMD的加入和pH的降低,导致F1-Cu和F2-Cu向下层迁移,导致F5的积累。第128天和第160天,随着总金属含量的增加,大部分易迁移形态(F1)增加,这可以解释为pH的降低导致矿物和有机质所吸附的Cd释放,清洁水淹水前97天,F5所占比例随时间逐渐增加。这可能是由于浸出,导致更多的可迁移组分减少。在128-160天内F1和F2的比例均增加,可能是由于还原条件下原始土壤中一些次生矿物的还原性溶解,释放出Cu和Cd。一般来说,低浓度时金属在固相组分中的再分配速度比高浓度时快。AMD中Cd的浓度比Cu低40倍,这可能会影响稳定过程中Cd的浓度。对于土壤的稳定性,Cd的变化比Cu的变化更剧烈。不同深度土壤中Cd的负载量在第67天达到最大值,而Cu的负载量在第160天达到最大值。固相的特异性吸附、离子交换和沉淀是重金属释放和保留的主要过程。在AMD淹水过程中,随着游离Cd的增加(结合孔隙水中Cd的数据),易迁移组分(F1+F2)的比例逐渐增加。这可能是因为Cd的离子半径比Cu大,所以很难通过同构取代进入Fe或Al氧化物的晶格内部。影响土壤对Cd吸附的关键因素是pH,研究表明,土壤pH每增加一个单位,土壤对Cd的吸附量将增加3-5倍,所以当土壤的pH值下降时,添加的Cd以一种易迁移的形式存在。在清洁水组,浸出有利于Cd的易迁移形态增加,67天前残渣态比例呈上升趋势,这与67~97天孔隙水浸出结果一致。可以看出,高迁移性组分的增加是由于清洁水处理的土壤中铁含量较低,即使在厌氧条件下也不足以形成矿物质。相反,它可能会导致次生矿物的还原性溶解和Cd的释放,从而增加易迁移形态。

图3 AMD组(左)和去离子水组(右)不同深度土层中Cu (a, b)、Cd (c, d)总浓度随时间的分布
图4 AMD组(左)和去离子水组(右)灌溉下土柱不同深度土壤中Cu (a, b)、Cd (c, d)时空变化
用相关性评估不同深度的孔隙水中的金属浓度与其在相同深度的固相馏分的相关性,并用热图表示。研究结果如图5所示。红色表示正相关,绿色表示负相关。AMD淹水第32天,孔隙水(Cu-dis)中Cu浓度与固相组分F2-Cu和F3-Cu呈显著正相关。第67天,Cu-dis与F1-Cu、F-Cu呈显著正相关。这可能是因为在67天内,铜吸附在土壤固相上,存在交换效应。97天时,Cu-dis与F5-Cu呈显著负相关。这种负相关关系可能表明吸附已经达到饱和,不再有交换作用。这与连续提取Cu的结果一致,Cu在97天后可迁移形态比例增加。清洁水组,第67和160天,dis-Cu与F4-Cu呈负相关。由于Cd的高流动性,在第32天已经呈现出负相关,说明此时Cd的吸附已经饱和。这从Cd形态分布中可以看出,迁移态在第32天有所增加。清洁水淹水后,土壤中dis-Cd与Cu的不同形态间无显著相关性。

图5 孔隙水中Cu、Cd与土壤固相中不同形态相关性的热图分析
图6显示了Cu和Cd的结合强度系数IR随着时间的推移的变化,IR值先上升后下降,最终的IR值总是低于初始值,表明长期的清洁水或AMD淹水都导致了Cu和Cd的迁移。这意味着,在持续的水淹过程中,土壤中的物理、化学和生物条件都发生了变化。在这两种情况下,它们导致了金属的形态发生变化。在淹水的前三个月,IR随着负荷的减少而增加。然后,在接下来的两个月里,IR值随着负荷量的增加而降低,表明在低负荷水平下,活性成分中Cu和Cd的含量较高。因此,这些金属在低负荷水平下比在高负荷水平下更易于与土壤基质结合。

图6 AMD组(a, c)和清洁水组(b, d)不同深度IR值的变化
虽然实验前后颗粒都呈现出层状结构,但可以看出AMD处理后的层状结构更加蓬松。从EDS得到的不同元素分布图可以看出,土壤主要由C、O、Si、Al和Fe组成。水浸160天后,O、Si、Al在土壤表面仍呈均匀分布。清洁水处理后Fe的信号较AMD处理低,而O和Si的信号较高。Fe明显分散在去离子水处理的颗粒中,而AMD处理(b)后出现团聚。由于AMD处理的孔隙水中检测到的Fe含量也显著增加,在AMD处理过程中,大量的Fe似乎被土壤颗粒吸附,很可能形成更稳定晶体形态的氧化铁。在实验的最后阶段,Cd的残留量只有12.06 mg kg-1(见连续提取的结果),未检测到明显的信号峰。

图7 扫描电子显微镜(SEM)(左)与能谱分析(EDS)(右)对淹 水实验前(a)和经过AMD(b)和清洁水(c)浸水160天后,从20厘米深的土柱上收集的土壤样品
用AMD对清洁稻田土进行淹水处理以评估水稻土从未污染到严重污染的整个过程中Cd和Cu在土壤中的动力学和相对结合强度。在土壤吸附量饱和之前,固相土壤和孔隙水中的Cu、Cd含量与Cu的高迁移率呈正相关。达到饱和后,二者呈负相关。SEM-EDS分析表明,土壤中元素的分布发生了变化,Fe有明显的聚集现象,暗示了铁矿物的形成,但具体的矿物相有待进一步研究,我们的研究结果表明,长期的AMD淹没会导致重金属的可迁移形态增加,从而增加其潜在的环境风险。具体的吸附、离子交换和新固相的形成是产生和保留Cu的主要过程。因此,土壤的颗粒组成和矿物相转变过程需要进一步研究。
论文以“Spatial and temporal variations of metal fractions in paddy soil flooding with acid mine drainage”为题在线发表于环境领域学术期刊EnvironmentalResearch上(https://doi.org/10.1016/j.envres.2022.113241),博士生潘艳同学主力贡献,是其个人第3篇一作论文。欢迎感兴趣的同行关注。
