虽然矿区已经被恢复,但多年的大规模油页岩开采所造成的环境问题仍在持续,加之周边石化产业的密集分布,对当地生态环境造成了严重威胁。本文调查了矿区周边8种重金属(Cu、Ni、Pb、Cd、As、Cr、Mn、Zn)的污染及其分布,评价了矿区周边环境的潜在风险,确定了矿区金属主要的污染来源,并进行了源解析。研究结果表明,原来的南北排土场污染严重,CF值显著高于其他采样点。Ni、Zn、Mn具有较高的变异系数,因其受人为因素特别是废渣堆积的影响较大。水体中重金属含量低于土壤;土壤粒径、pH、Eh和酸性矿山废水影响着重金属浓度的变化。As和Cd具有很高的RAC值,因其主要存在于可交换态和还原态中。Mn暴露出很高的生态风险,其次是Pb,尽管它们在碳酸盐结合态和氧化态中具有较高的复合。采用APCS-MLR受体模型对三种主要污染源进行了识别和分配,工业活动、大气沉降和混合源的平均贡献率分别为39.77%、22.24%和37.99%。此外,通过聚类分析进一步根据采样点的空间距离对金属污染源进行了分类。

图1 研究摘要图
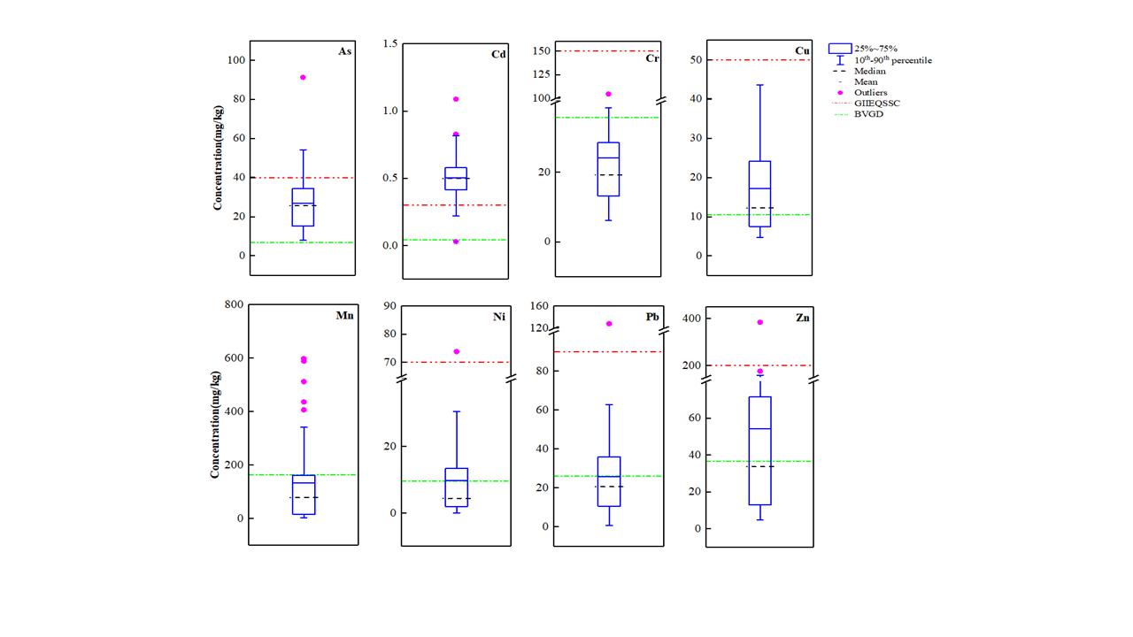
本文主要得出以下结论:1)矿区周边土壤中Mn和Zn含量变化较大,分别为3.2 ~ 598.8和4.9 ~ 385.2 mg/kg;其他金属As、Cd、Cr、Cu、Ni和Pb含量分别为8.1 ~ 91.3、0.03 ~ 1.09、6.2 ~ 104.8、4.8 ~ 43.7、0.07 ~ 73.8和0.8 ~ 128.2 mg/kg。水体中金属元素含量差异不大,但显著低于土壤。空间分布表明,露天矿附近为轻度至中度污染,而原来的南北排土场为中度至重度污染。

图2八种重金属的浓度

图3 研究区金属污染的空间分布
2)富集因子发现,Cd的EF值最高,其次是As和Cu,表明主要受人类活动的影响。Mn、Pb在土壤中呈轻至中等富集,可能来自土壤母质或自然风化过程。组分分析表明,Cr在残渣态中占很大比例,Cu主要存在于残渣态和可氧化态,偶尔也存在于Ni中。As、Cd、Mn和Pb在潜在生物有效组分中占较大比例,具有较高的生态风险。

图4 研究区采样点金属的形态热图
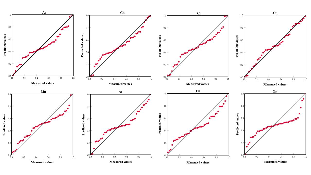
APCS-MLR受体模型确定了矿区周围3种主要金属源,工业活动占39.77%,大气沉降占22.24%,混合源占37.99%,且每种来源对这八种金属的贡献不同。

图5 APCS-MLR模型中金属含量实测值与预测值的对比
论文以“Integrated ecological risk assessment of heavy metals in an oil shale mining area after restoration”为题在线发表于环境领域学术期刊Journal of Environmental Management上(https://doi.org/10.1016/j.jenvman.2021.113797.),博士生马腾飞同学主力贡献,是其个人博士期间第1篇一作论文。欢迎感兴趣的同行关注。
