多溴联苯醚(Polybrominated diphenyl ethers, PBDEs)是溴代阻燃剂的一种,由于其优良的防火性能,被广泛应用于电子电器行业。PBDEs大部分以物理的方式添加到电子产品中,导致其很容易从产品释放到环境中去,其中大部分的PBDEs存在于土壤和底泥中。自表面活性剂洗脱技术在处理土壤中疏水性有机污染物方面逐渐兴起,表面活性剂洗脱技术也被广泛的应用在土壤中PBDEs的处理。并且关于洗脱之后的表面活性剂洗脱剂的处理也越来越受到人们的广泛关注。光处理作为高效、低毒性的处理而日益受到广泛关注。然而在表面活性剂洗脱过程中会将大量存在于土壤中的并具有强光活性的Fe3+洗脱到溶液中去,可能会在后续的光处理过程中影响着PBDEs的降解和表面活性剂的回收。本文探讨了Fe3+对Brij35表面活性剂溶液中BDE-47的光降解的影响。

图1 BDE-47在含有不同浓度Fe3+的Brij35溶液中的光降解
(a)BDE-47浓度变化;(b)Brij35浓度变化;(c)ESR图谱;(d)光电流
光降解实验表明,当Fe3+在低浓度(<0.1 mM)时是促进BDE-47的光降解的,其降解速率从0.42上升到0.74 min-1,当Fe3+浓度继续上升时,则抑制了BDE-47的光降解,在Fe3+浓度为5 mM时,BDE-47的降解速率下降到0.04 min-1(图1a)。如图1b所示Fe3+的存在加速了溶液中Brij35的损耗。可能是由于溶液中Fe3+的加入促进了溶液活性氧自由基的生成,图1c的羟基自由基检测也说明了这一点。另外,Fe3+的加入也加速了溶液中电子转移的过程,这也解释了为什么Fe3+在低浓度时促进了BDE-47的降解,但是Fe3+在高浓度时由于光竞争和光屏蔽的作用导致BDE-47的降解被抑制。Fe3+主要通过产生自由基、络合效应、电子转移、光敏化、光屏蔽、光竞争以及卤键的作用来影响BDE-47在Brij35中的光降解。
探究了溶解氧在光降解过程中的作用,结果如图2所示,表明在O2饱和的Fe3+-Brij35溶液中,BDE-47的光降解受到了抑制,而在充满N2的溶液中BDE-47的降解被促进,表明BDE-47的降解主要是一个还原脱溴的过程。图2d中Brij35的损耗表明氧气的存在加速了Brij35的损耗,也说明了Brij35的降解主要是一个氧化的过程。对不同溶液中产生的•OH进行检测,结果如图2a所示,在通入O2的溶液中的•OH的含量较高,而在通入氮气的溶液中并没有比较明显的DMPO-OH信号,说明O2的存在促进了•OH的生成。此外,如图2b所示,在通入O2的溶液中没有检测到Fe2+,这可能是由于产生的Fe2+会被氧化生成Fe3+。据此,产生自由基和电子捕获过程可能是O2影响BDE-47降解、Brij35损耗和Fe3+转化的主要途径。

图2 O2对Brij35/BDE-47光降解的影响
(a)DMPO为捕获剂的ESR信号;(b)Fe3+的转化;(c)BDE-47的光降解;(d)Brij35的损耗
光降解过程中BDE-47的光降解产物通过GC/MS进行检测,发现了一系列产物,其产物中主要包括,脱溴产物、二苯并呋喃产物、羟基联苯的产物等。邻羟基联苯和对羟基联苯。此外,光谱中发现的主要产物是BDE-28、BDE-15、BDE-3和DE,表明BDE-47的主要降解途径是BDE-47→BDE-28→BDE-15→BDE-3→DE,降解主要是逐步脱溴,并遵循邻间对顺序。此外,通过LC/MS检测到6-OH-BDE-47和2'-OH-BDE-68这两种产物。表明BDE-47在Fe3+-Brij35溶液中是可以被•OH氧化的,也证实了•OH促进溶液中BDE-47光降解的假设。根据以上检测到的产物,提出了BDE-47在Fe3+-Brij35中光降解路径,如图3所示

图3 推测的BDE-47在Fe3+-Brij35溶液中的降解路径
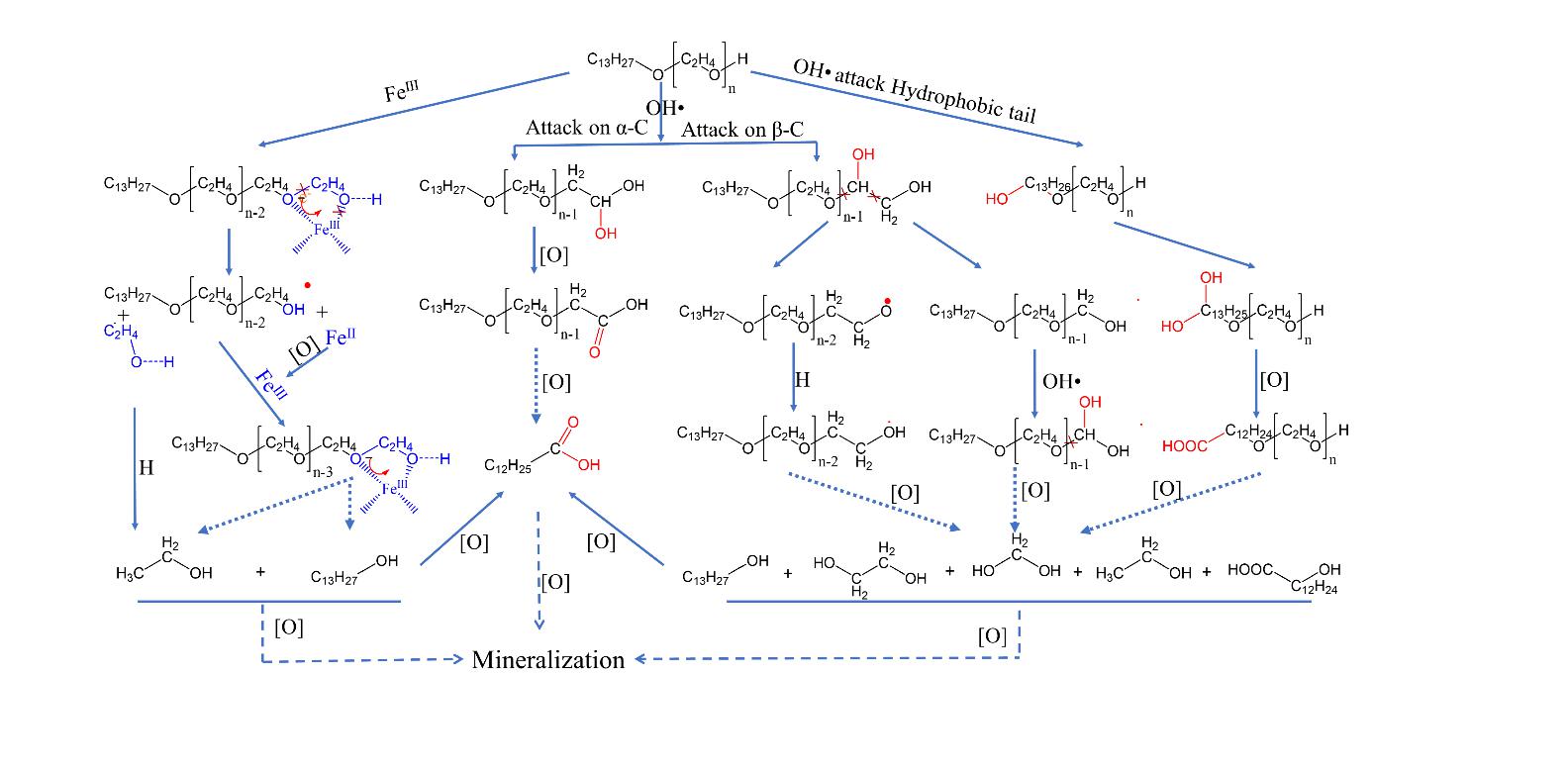
通过LC/MS检测到Brij35的一系列断链亲水链以及羟基化和羧基化产物,并推断出Brij35在Fe3+存在时的主要光降解路径如图4所示。Brij35的降解主要是活性氧的逐渐氧化并最终被完全矿化的过程,过程中伴随着羟基化产物、羧基化产物和一些亲水性断链产物的形成。

图4 推测的Brij35在Fe3+-Brij35溶液中的光降解路径
图5中总结了BDE-47在Fe3+-Brij35溶液中的光降解机理,在光照射过程中,反应产物BDE-47、Brij35、铁和生成的自由基因性质不同而按一定比例分布在水相和胶束相中,并保持动态平衡。处于胶束相和水相中的铁物种由于一系列氧化还原反应能够分别完成两个循环。由于物种在胶束和水相中的动态平衡,Fe-Brij35体系中除了胶束和水相中的循环外,各物种在整个体系中都有循环。三个Fe循环的自由基反应和电子穿梭过程导致BDE-47降解和Brij35损耗。

图5推测的BDE-47在Fe3+-Brij35体系中光降解机理
本论文主要得到以下主要结论:1)Fe3+主要通过产生自由基、络合效应、电子转移、光敏化、光屏蔽、光竞争以及卤键的作用影响BDE-47在Brij35中的光降解;2)Brij35、Fe3+、pH和溶解氧等因素主要是通过影响Fe3+的络合物的形成以及自由基的生成来影响溶液中BDE-47的降解和Brij35的损耗;3)Fe3+的存在,能够产生大量的•OH,让BDE-47更容易被羟基氧化,而且Fe3+的存在使Brij35损耗增加。
论文以“Effects of ferric ion on the photo-treatment of nonionic surfactant Brij35 washing waste containing 2,2′,4,4′-terabromodiphenyl ether”为题在线发表于环境领域知名学术期刊Journal of Hazardous Materials上(https://doi.org/10.1016/j.jhazmat.2021.125572.),博士生黄开波同学主力贡献,是其个人第6篇一作论文。欢迎感兴趣的同行关注。
