黄钾铁矾(Jarosite)形成于富铁高硫酸根的酸性环境中,如酸性矿山废水(AMD,acid mine drainage)和酸性硫酸盐土壤(AAS,acid sulfate soil),是一种亚稳定的铁羟基硫酸盐矿物,典型化学式为KFe3(SO4)2(OH)6。黄钾铁矾在形成过程中,结构中的K+、Fe3+和SO42-能够分别被与其离子半径和所带电荷相似的Ag+和Pb2+、Al3+和Cu2+、AsO43-和CrO42-等离子部分置换进入到矿物结构中;同时黄钾铁矾具有较大的比表面积和丰富的≡Fe-OH官能团,因此,黄钾铁矾可通过共沉淀或表面吸附的方式固定重(类)金属,从而使其演变为重(类)金属的沉积库,如砷。有研究表明,在AMD环境中As污染主要存在于河流沉积物中,并且主要以残渣态的形态存在。黄钾铁矾能富集、钝化水体中的As,对矿区环境中砷污染表现出显著的修复能力。但随着环境条件的改变,如pH和微生物群落的变化、溶解性有机酸浓度和种类的改变等,均会使黄钾铁矾发生溶解和相转变,并影响吸持的砷的迁移行为和毒性。溶解性有机酸源于根系分泌物和微生物分解的腐殖质,富含羟基、羧基等活性官能团,对铁矿物有较高的亲和力,可改变其稳定性,从而对Fe的生物地球化学循环过程和重(类)金属迁移产生重大影响。草酸普遍存在于自然水环境中(2.5×10-5 ~ 4.0×10-3 M),能与重金属形成稳定络合物。
目前还没有关于含As(V)黄钾铁矾在草酸盐介导下的地球化学行为研究,黄钾铁矾转化产物以及As(V)价态变化和迁移情况仍是不清楚的。本文主要是基于矿区酸性河流环境中,黄钾铁矾沉积物、As(V)和草酸盐共存的情况下,采用牺牲实验的方法,研究含As(V)黄钾铁矾在不同草酸盐浓度体系下的稳定性,以及共沉淀砷的分配过程和价态变化,有助于揭示含羧酸官能团有机酸对负载As(V)黄钾铁矾的影响机制。
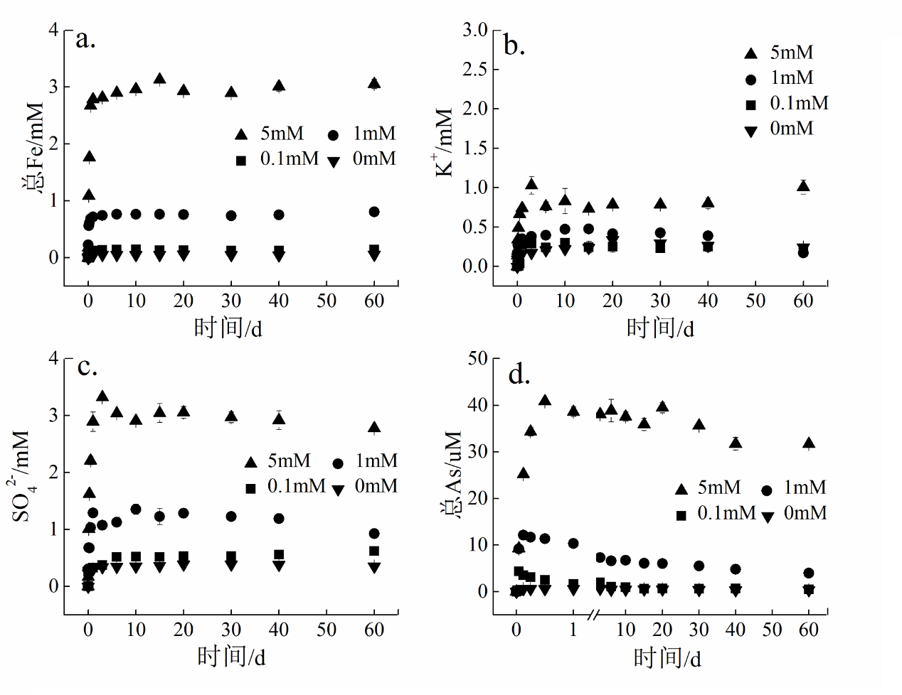
含As(V)黄钾铁矾与草酸盐混合后,溶液相中总Fe、K+和SO42-的浓度迅速增加,并且草酸盐浓度越高,对含As(V)黄钾铁矾的溶解促进作用越强(图1)。草酸为小分子二元羧酸,易于与矿物表面的Fe(III)结合形成Fe(III)-草酸盐络合物,从而吸附在黄钾铁矾表面,与腐植酸等大分子相比,草酸空间位阻较小,形成的络合物更加稳定,Fe(III)-草酸盐络合物的形成是矿物溶解的第一步和关键。

图1 含As(V)黄钾铁矾在pH 2.5时不同初始草酸盐浓度条件下,溶液相中(a)总Fe、(b)K+、(c)SO42-和(d)总As浓度变化
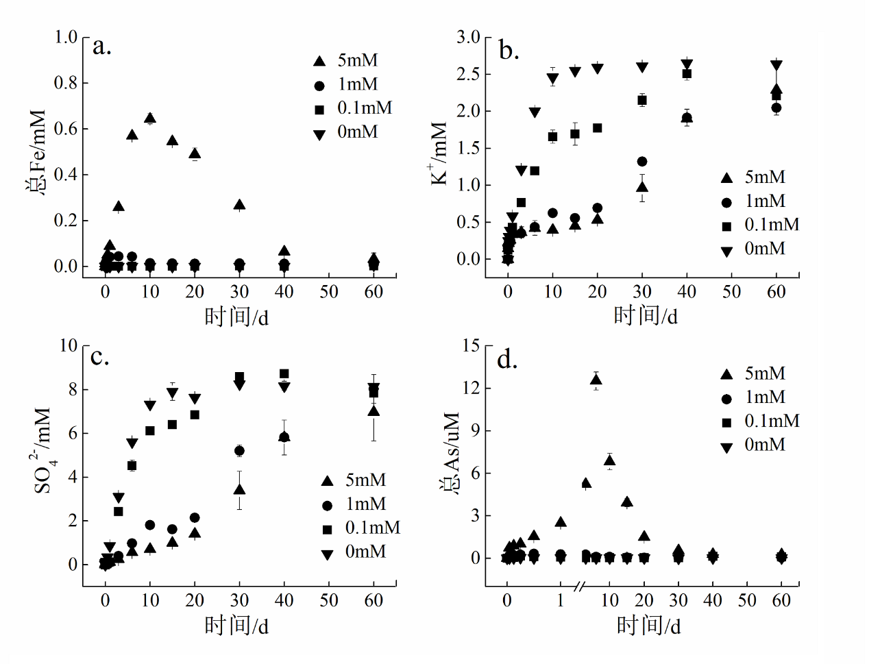
含As(V)黄钾铁矾在pH 6.5时的溶解过程与在pH 2.5条件下不相同。图2b和c显示,草酸盐的存在抑制含As(V)黄钾铁矾K+和SO42-的释放,并且随着草酸盐浓度增加,抑制作用逐渐增强。在反应过程中,含As(V)黄钾铁矾的表面活性位点或孔隙对于草酸盐积累而言是饱和的,造成一定数量的草酸盐不会直接与矿物表面位点或孔隙结合,而是形成有机酸多分子层,覆盖在矿物表面的溶解位点,从而使K+和SO42-的释放受空间位阻限制。

图2 含As(V)黄钾铁矾在pH 6.5时不同初始草酸盐浓度条件下,溶液相中(a)总Fe、(b)K+、(c)SO42-和(d)总As浓度变化
在pH 2.5体系中,溶液中总As含量(图1d)在加入草酸盐后迅速增加,这是由于草酸盐促进含As(V)黄钾铁矾的溶解,使矿物结构中的As被释放出来,甚至草酸盐能在一定程度上能取代结合的As;随着溶解过程的进行,含As(V)黄钾铁矾暴露出更多的活性位点,有助于As的重新吸附,但大部分砷仍以溶解态形式存在,这是由于草酸盐抑制释放的砷酸根的再吸附。砷酸根通过形成双齿单核、双齿双核和单齿单核络合物吸附到铁矿物表面,形成Fe-O-As配位键;草酸盐也能与铁矿物表面的Fe结合,形成Fe-O-C配位键,所以草酸盐和砷酸根同时竞争含As(V)黄钾铁矾表面的Fe原子,竞争吸附导致As重新吸附到矿物相上更加困难。在pH 6.5条件下,释放的As(图2d)几乎全部重新吸附在固体相上。这是由于在高pH值下,Fe(III)水解导致次生矿物的生成,有利于As重新吸附。
含As(V)黄钾铁矾相转变产物的XRD谱图如图3所示。共沉淀了AsO43-的黄钾铁矾在pH 2.5条件下,经与草酸盐反应60 d后(图3a),矿物组成仍是黄钾铁矾,只是矿物特征峰峰强变弱,说明矿物发生一定程度的溶解。在pH 6.5条件下(图3b),产物XRD谱图上出现纤铁矿与针铁矿特征峰,表明有纤铁矿与针铁矿的生成。含As(V)黄钾铁矾在草酸盐体系中的溶解、重结晶过程在不同pH条件下呈现较大的差异,并且随着pH上升,黄钾铁矾会向更稳定的晶型转变。

图3 含As(V)黄钾铁矾在(a)pH 2.5和(b)pH 6.5时在不同初始草酸盐浓度下反应前后XRD谱图
含As(V)黄钾铁矾在pH 6.5反应体系中,重结晶产物的FTIR谱图如图4所示。位于2900 ~ 3700 cm-1的O-H特征峰峰强明显减弱,且向低波长段偏移;位于1636 cm-1的HOH伸缩振动特征峰增强并向高波长段偏移;产物仍保留黄钾铁矾原始的O-H变形伸缩振动特征峰,但峰强减弱,且在0.1 mM草酸盐体系中,产物特征峰迁移至1019 cm-1。这表明草酸盐与含As(V)黄钾铁矾表面的-OH络合。ν3(SO4)和ν4(SO4)特征峰依然存在,但强度明显减弱,表明在反应过程中黄钾铁矾结构中SO42-流失;在1122 cm-1处出现新特征峰,这是由于SO42-可能以外圈络合物的形式吸附在新形成的矿物相上,从而导致与黄钾铁矾相似的FTIR谱带。在887 cm-1和796 cm-1处出现的肩峰为针铁矿结构中的Fe-O-H,表明在反应过程中,有针铁矿生成。FeO6八面体结构对应的特征峰消失,这表明含As(V)黄钾铁矾结构的坍塌。

图4 含As(V)黄钾铁矾在pH 6.5时在不同初始草酸盐浓度下反应前后FTIR谱图
为进一步探讨含As(V)黄钾铁矾在转化过程中各元素的存在形式和As的价态变化,采用光电子能谱对反应前后固体样品的Fe 2p、C 1s、O 1s和As 3d结合能进行测定(图5)。Fe 2p3/2和Fe 2p1/2的结合能分别为711.9 eV和725.8 eV,结合能均高于710 eV,表明在初始矿物中铁以Fe(III)形式存在。反应60 d后在转化产物的Fe 2p3/2谱图中新增加了FeOOH和FeO特征峰(图5b),FeOOH特征峰的出现表明固相转化产物含有针铁矿组分。从反应后样品O 1s的XPS谱图中可以清晰观察到有C=O、Fe(OH)O和Fe2O3(图5d)特征峰。C 1s分峰结果显示了四种碳键的存在(图5f),分别为C=O、C-O、C-OH和C-C,XPS的C 1s谱图显示矿物表面C(in atom%)的相对含量增加7.7%,表明在反应过程中草酸盐吸附在铁矿物表面,使铁矿物表面含碳量增加。将反应前后As 3d的XPS谱图进行比较,确定As(V)价态是否发生变化。反应前(图5g),As 3d结合能为45.7 eV和44.4 eV;反应后(图5h),As 3d的电子结合能为45.8 eV和44.8 eV。这些特征峰均属于As(V)-O,表明在反应过程中矿物相的As(V)没有被还原,未转变为剧毒的As(III)化合物。

图5 含As(V)黄钾铁矾在pH 6.5时5 mM草酸体系下反应前后(a-b)Fe 2p,(c-d)O 1s,(e-f)C 1s和(g-h)As 3d的XPS谱图
本研究主要探讨了在草酸盐介导下含As(V)黄钾铁矾的溶解、重结晶和As的迁移行为。双齿配体草酸盐可与铁矿物表面的Fe(III)活性位点结合形成双齿单核、双齿双核、单齿单核络合物,促使Fe原子与O原子之间的键极化,破坏Fe-O键的稳定性并降低Fe溶出的活化能,从而形成相对较强的可溶性[≡FeIII(C2O4)n](2n-3)-表面络合物,一部分表面络合物脱离矿物固相进入溶液相,同时一部分被草酸盐络合的Fe(III)释放到溶液中,而游离的草盐酸能与矿物表面的另一个Fe(III)原子再次结合形成络合物,草酸盐从矿物表面上的一个位置通过溶液传质到另一个位置的过程,能促进黄钾铁矾的溶解。发生溶解的表面区域暴露了先前共沉淀在矿物结构中的As;同时As能以Fe为桥接物与草酸盐结合,形成As-Fe-草酸盐络合物,从而促进As释放。在pH 2.5条件下,草酸盐与As(V)竞争矿物表面的活性位点,导致As(V)难以重新吸附到矿物相上;随着pH从2.5上升到6.5,Fe(III)通过水解和沉淀作用,生成的次生矿物针铁矿与纤铁矿具有更大的比表面积和更加丰富的≡Fe-OH基团,能够有效固定游离的As(V),二次矿物的形成能控制溶解态Fe和As的再分配。
论文以“草酸盐介导下含As(V)黄钾铁矾的相转化过程与As(V)的再分配行为”为题在线发表于国内环境领域知名学术期刊《环境科学学报》上,硕士生唐苑君同学主力贡献,是其个人第2篇一作论文。欢迎感兴趣的同行关注。